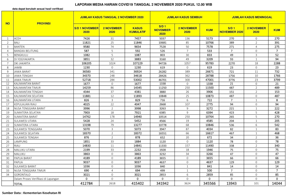
PEKANBARU – Kasus positif virus Corona (Covid-19) di Indonesia hari ini, Senin (2/11/2020), bertambah 2.618 orang. Dengan penambahan tersebut, total kasus positif virus Corona di Indonesia menjadi 415.402 orang.
Sementara untuk Provinsi Riau, pasien positif Corona bertambah 11 orang. Dengan demikian, total pasien Covid-19 di Riau berjumlah 14.841 orang sejak pandemi Covid-19 menyerang Indonesia.
Berdasarkan situs Kementerian Kesehatan RI, hari ini dilaporkan juga ada 3.624 pasien sembuh dari Corona. Dengan penambahan itu, maka pasien sembuh dari Corona di RI total berjumlah 345.566 orang.
Khusus Provinsi Riau, pasien positif Covid-19 yang sembuh hari ini berjumlah 157 orang. Dengan demikian, total pasien sembuh di Negeri Lancang Kuning itu menjadi 11.490 orang.
Di sisi lain, pasien positif Corona yang meninggal dunia di Indonesia hari ini ada 101 orang. Dengan demikian, total pasien positif Covid-19 yang meninggal menjadi 14.044 orang.
Sementara pasien Covid-19 yang meninggal karena Corona di Provinsi Riau hari ini ada 2 orang, dengan demikian total sudah mencapai 340 orang.
Berikut sebaran 2.618 kasus baru Corona di Indonesia, Senin (2/11/2020):
DKI Jakarta: 1.024 kasus
Jawa Barat: 341 kasus
Jawa Timur: 284 kasus
Jawa Tengah: 248 kasus
Sumatera Barat: 178 kasus
Kalimantan Timur: 86 kasus
Sumatera Utara: 79 kasus
Banten: 74 kasus
Kalimantan Tengah: 37 kasus
Lampung: 33 kasus
Maluku Utara: 33 kasus
DI Yogyakarta: 32 kasus
Aceh: 31 kasus
Bali: 25 kasus
Sulawesi Utara: 24 kasus
Kepulauan Riau: 22 kasus
Sumatera Selatan: 18 kasus
Kalimantan Selatan: 12 kasus
Riau: 11 kasus
Bangka Belitung: 5 kasus
Bengkulu: 5 kasus
Nusa Tenggara Timur: 4 kasus
Kalimantan Utara: 3 kasus
Sulawesi Tenggara: 3 kasus
Nusa Tenggara Barat: 2 kasus
Sulawesi Selatan: 2 kasus
Sulawesi Tengah: 2 kasus. (zon/riausatu.com)








