oleh

Rekor! Kasus Corona di Riau Bertambah 50 Orang Hari Ini

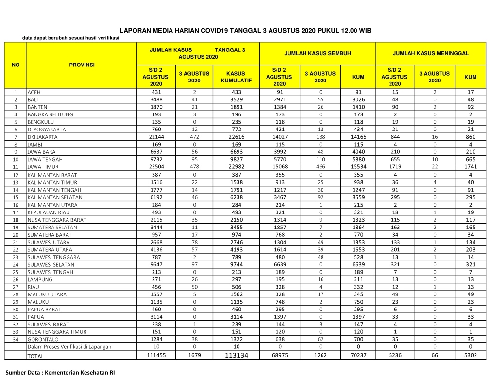
PEKANBARU – Jumlah kasus konfirmasi positif virus Corona Covid-19 di Indonesia hari ini, Senin (3/8/2020), bertambah 1.679 orang, menjadi total 113.134 kasus.

Khusus Provinsi Riau hari ini mencatat rekor tersendiri, yakni bertambah 50 orang. Dengan demikian, total kasus pasien  positif Corona di Riau menjadi 506 orang.

Dikutip dari kemkes.go.id, pukul 15:20 WIB, berikut perincian sebaran 1.679 kasus baru Corona di Indonesia, Senin (3/8/2020):

Baca Juga  Ketersediaan Vaksin Sinovac di Kota Pekanbaru Masih 8.000 Dosis

Jawa Timur: 478 kasus

DKI Jakarta: 472 kasus

Sulawesi Selatan: 97 kasus

Jawa Tengah: 95 kasus

Sulawesi Utara: 78 kasus

Sumatera Utara: 57 kasus

Jawa Barat: 56 kasus

Riau: 50 kasus

Kalimantan Selatan: 46 kasus

Bali: 41 kasus

Gorontalo: 38 kasus

Nusa Tenggara Barat: 35 kasus

Lampung: 26 kasus

Kalimantan Timur: 22 kasus

Baca Juga  Wapres Ungkap Dua Strategis Pemerintah Tekan Kemiskinan Ekstrem

Banten: 21 kasus

Sumatera Barat: 17 kasus

Kalimantan Tengah: 14 kasus

DI Yogyakarta: 12 kasus

Sumatera Selatan: 11 kasus

Maluku Utara: 5 kasus

Bangka Belitung: 3 kasus

Aceh: 2 kasus

Sulawesi Tenggara: 2 kasus

Sulawesi Barat: 1 kasus. (zon/riausatu.com)

Komentar

News Feed