Skip to content
Senin, 27 April 2026 | 21:17 WIB
Riau Siberindo
  • Indeks
  • Redaksi
  • Pedoman Siber
Riau Siberindo
  • Headline
  • Politik
  • Hukum
  • Pemerintahan
  • Ekonomi
  • Budaya
  • Nasional
  • Internasional
  • Opini
  • Pendidikan
  • Daerah
    • Bengkalis
    • Dumai
    • Siak
    • Rohul
    • Rohil
    • Pekanbaru
    • Pelalawan
    • Meranti
    • Inhil
    • Inhu
    • Kampar
    • Kuansing
  • Lainnya
    • Entertainment
    • Kriminal
    • Kesehatan
    • Iptek
    • Kuliner
    • Obituary
    • News
    • Ragam
    • Selebriti
    • Seni dan Budaya
    • Sosial
    • Sosok
    • Sport
    • Trending
    • Update Covid-19
    • Nusantara
    • Wisata
    • Crime Story
Senin, 3 Agustus 2020 | 16:11 WIB

Rekor! Kasus Corona di Riau Bertambah 50 Orang Hari Ini

Headline Kesehatan News

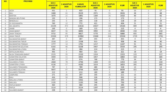
PEKANBARU – Jumlah kasus konfirmasi positif virus Corona Covid-19 di Indonesia hari ini, Senin (3/8/2020), bertambah 1.679 orang, menjadi total 113.134 kasus. Khusus

Berita Lainnya

Trending

Dampak Pemadaman Listrik, Kapolda Riau Perintahkan Jajaran Gencarkan Patroli
Di Headline, Trending|Kamis, 6 Juni 2024 | 11:19 WIB
Waduh, Panitia Kongres IKA Unri Banyak Langgar AD/ART, Morris: Wajib Ditunda!
Di Headline, Nasional, News, Trending|Jumat, 4 Juni 2021 | 10:47 WIB
Tokoh Pemuda Riau Minta Presdir Chevron Tepati Janji Tuntaskan TTM di Blok Rokan
Di Headline, Hukum, Nasional, Trending|Kamis, 3 Juni 2021 | 16:55 WIB
Gawat! Sekretariat Panitia Kongres IKA Unri Disegel Alumni, Ada Apa
Di Headline, News, Trending|Kamis, 3 Juni 2021 | 13:27 WIB
Bursa Calon Ketua Umum IKA Unri; Achmad atau Kasmarni
Di Headline, Nasional, News, Trending|Selasa, 1 Juni 2021 | 20:40 WIB

# Meledak Meletus

Rekor! Kasus Corona di Riau Bertambah 50 Orang Hari Ini

Headline, Kesehatan, News|Senin, 3 Agustus 2020 | 16:11 WIBoleh riausatu

PEKANBARU – Jumlah kasus konfirmasi positif virus Corona Covid-19 di Indonesia hari ini, Senin (3/8/2020), bertambah 1.679 orang, menjadi total 113.134 kasus. Khusus

Hukum

Kasus SHM 682: Satgas ATR/BPN Siap Gulung Mafia Tanah di Riau!
Di Headline, Hukum, Pekanbaru|Jumat, 10 Oktober 2025 | 16:16 WIB
Ciliandra Fangiono Terseret Kasus BPDPKS Rp57 Triliun, Petir Desak Kejagung Tega…
Di Headline, Hukum|Sabtu, 6 September 2025 | 07:55 WIB
Dahsyat! Rahman Eks Dirut SPRH Diduga ‘Garap’ Proyek Fiktif Senilai Rp155 Miliar
Di Headline, Hukum, Rohil|Selasa, 12 Agustus 2025 | 16:24 WIB
Korupsi Dana PI Rp551,4 Miliar: PETIR Desak Kejati Tangkap Rahman Eks Dirut SPRH
Di Headline, Hukum, Rohil|Senin, 11 Agustus 2025 | 15:21 WIB
Tiga Kali Mangkir, Mengapa Kejati Belum Jemput Paksa Rahman Eks Dirut SPRH?
Di Headline, Hukum, Rohil|Kamis, 7 Agustus 2025 | 13:27 WIB

Populer

  • 1
    JA Santer Diganti, Besok Direktur SDM Pertamina Erry Sugiharto Bakal Didemo Korupsi BTS
    Di Headline, Hukum
  • 2
    Sekdakab Rohul Harap Kepengurusan HKLT Dapat Bersinergi
    Di Daerah, Nasional, News, Nusantara, Rohul
  • 3
    DPRD Sebut Izin Palsu, Pembangunan Swalayan Tetap Berlanjut: Ada Apa?
    Di Headline, Hukum, Pekanbaru
  • 4
    Jaringan Aktivis HMI Demo: “Tangkap dan Adili Erry Sugiharto Direktur SDM Pertamina”
    Di Headline, Hukum
  • 5
    Mangkir RDP Pembangunan Ilegal, Kepala Satpol PP Lecehkan DPRD Pekanbaru
    Di Headline, Hukum, Pekanbaru

#Tags

Daerah Ekonomi Headline Hukum Kesehatan Nasional News Nusantara Pekanbaru Update Covid-19
ANGGOTA JARINGAN SIBERINDO.CO
riausatu.com majalahoutsiders.com pantauriau.com hariantimes.com iniriau.com propertybisnis.com menitriau.com baharinews.com pekanbaruexpress.com
Riau Siberindo
Copyright © www.siberindo.co