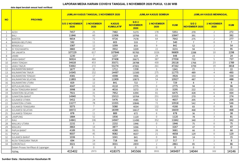
PEKANBARU – Kasus positif virus Corona (Covid-19) di Indonesia hari ini, Selasa (3/11/2020), bertambah 2.973 orang. Dengan penambahan tersebut, total kasus positif virus Corona di Indonesia menjadi 418.375 orang.
Sementara untuk Provinsi Riau, pasien positif Corona bertambah 106 orang. Dengan demikian, total pasien Covid-19 di Riau berjumlah 14.947 orang sejak pandemi Covid-19 menyerang Indonesia.
Berdasarkan situs Kementerian Kesehatan RI, hari ini dilaporkan juga ada 3.931 pasien sembuh dari Corona. Dengan penambahan itu, maka pasien sembuh dari Corona di RI total berjumlah 349.497 orang.
Khusus Provinsi Riau, pasien positif Covid-19 yang sembuh hari ini berjumlah 352 orang. Dengan demikian, total pasien sembuh di Negeri Lancang Kuning itu menjadi 11.842 orang.
Di sisi lain, pasien positif Corona yang meninggal dunia di Indonesia hari ini ada 102 orang. Dengan demikian, total pasien positif Covid-19 yang meninggal menjadi 14.146 orang.
Sementara pasien Covid-19 yang meninggal karena Corona di Provinsi Riau hari ini ada 2 orang, dengan demikian total sudah mencapai 342 orang.
Berikut sebaran 2.973 kasus baru Corona di Indonesia, Selasa (3/11/2020):
DKI Jakarta: 617 kasus
Jawa Barat: 484 kasus
Jawa Tengah: 453 kasus
Jawa Timur: 272 kasus
Kalimantan Timur: 152 kasus
Riau: 106 kasus
Papua Barat: 91 kasus
Sumatera Utara: 78 kasus
Sumatera Barat: 73 kasus
Banten: 72 kasus
Kepulauan Riau: 63 kasus
Bali: 60 kasus
Lampung: 52 kasus
DI Yogyakarta: 49 kasus
Papua: 45 kasus
Kalimantan Barat: 35 kasus
Sumatera Selatan: 31 kasus
Sulawesi Selatan: 27 kasus
Aceh: 25 kasus
Sulawesi Utara: 24 kasus
Nusa Tenggara Timur: 24 kasus
Nusa Tenggara Barat: 18 kasus
Kalimantan Tengah: 17 kasus
Kalimantan Selatan: 16 kasus
Maluku: 14 kasus
Bengkulu: 12 kasus
Kalimantan Utara: 12 kasus
Bangka Belitung: 11 kasus
Sulawesi Tengah: 11 kasus
Gorontalo: 10 kasus
Jambi: 7 kasus
Sulawesi Tenggara: 7 kasus
Sulawesi Barat: 5 kasus. (zon/riausatu.com)








