oleh

Berikut Sebaran 6.753 Kasus Baru Corona RI 4 Januari: Riau Tambah 110, 96 Sembuh

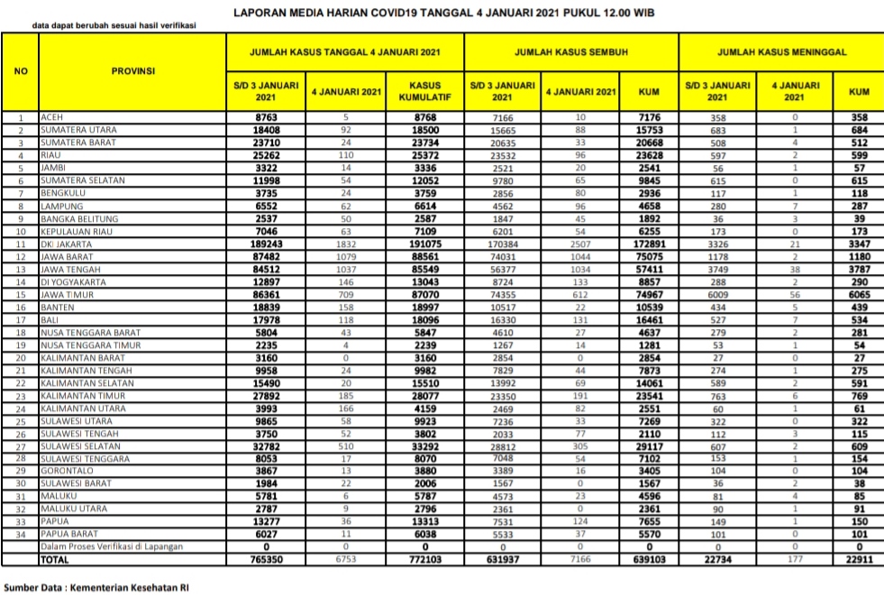
PEKANBARU – Kasus positif virus Corona (Covid-19) di Republik Indonesia (RI), Senin  (4/1/2021), bertambah 6.753 orang. Dengan penambahan tersebut, total kasus positif virus Corona di Indonesia menjadi 772.103  kasus.

Sementara untuk Provinsi Riau, pasien positif Corona bertambah 110 orang. Dengan demikian, total pasien Covid-19 di Riau berjumlah 25.372 orang sejak pandemi Covid-19 menyerang Indonesia.

Berdasarkan situs Kementerian Kesehatan RI, hari ini dilaporkan juga ada 7.166 pasien sembuh dari Corona. Dengan penambahan itu, maka pasien sembuh dari Corona di Indonesia  menjadi 639.103 orang.

Baca Juga  GAYA HIDUP: PKS Puji Ketegasan KASAD Dudung yang Minta Jajarannya Hindari Gaya Hidup Mewah Demi Jaga Marwah Prajurit TNI AD

Khusus Provinsi Riau, pasien positif Covid-19 yang sembuh hari ini berjumlah 96 orang. Dengan demikian, total pasien sembuh di Negeri Lancang Kuning itu menjadi 23.628 orang.

Di sisi lain, pasien positif Corona yang meninggal dunia di Indonesia hari ini ada 177 orang. Dengan demikian, total pasien positif Covid-19 yang meninggal menjadi
22.911 orang.

Sementara pasien Covid-19 yang meninggal karena Corona di Provinsi Riau hari ini ada 2 orang, dengan demikian total sudah mencapai 599 orang.

Baca Juga  Alhamdulillah! 635 Pasien Corona Sembuh di Riau pada 20 Oktober, Tambah 167

Berikut sebaran 6.753 kasus baru Corona di Indonesia, Senin (4/1/2021):

DKI Jakarta: 1.832 kasus
Jawa Barat: 1.079 kasus
Jawa Tengah: 1.037 kasus
Sulawesi Selatan: 510 kasus
Kalimantan Timur: 185 kasus
Banten: 158 kasus
DI Yogyakarta: 146 kasus
Bali: 118 kasus
Riau: 110 kasus
Sumatera Utara: 92 kasus
Kepulauan Riau: 63 kasus
Lampung: 62 kasus
Sulawesi Utara: 58 kasus
Sumatera Selatan: 54 kasus
Sulawesi Tengah: 52 kasus
Bangka Belitung: 50 kasus
Nusa Tenggara Barat: 43 kasus
Papua: 36 kasus
Sumatera Barat: 24 kasus
Bengkulu: 24 kasus
Kalimantan Tengah: 24 kasus
Sulawesi Barat: 22 kasus
Kalimantan Selatan: 20 kasus
Sulawesi Tenggara: 17 kasus
Jambi: 14 kasus
Gorontalo: 13 kasus
Papua Barat: 11 kasus
Maluku Utara: 9 kasus
Maluku: 6 kasus
Aceh: 5 kasus
Nusa Tenggara Timur: 4 kasus. (zon/riausatu.com)

News Feed