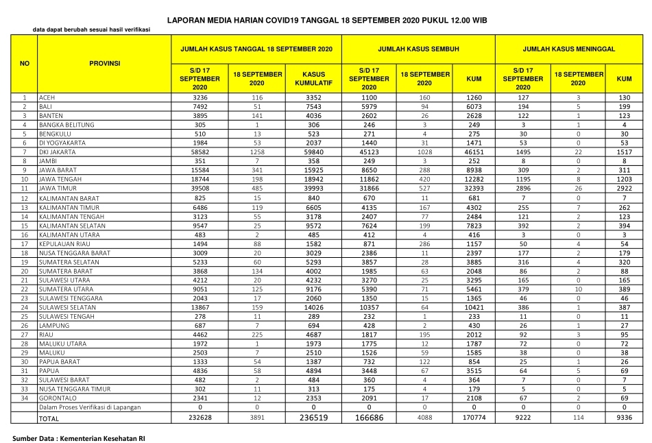
PEKANBARU – Kasus positif virus Corona (Covid-19) di Indonesia hari ini, Jumat (18/9/2020), bertambah 3.891 orang. Dengan penambahan tersebut, total kasus positif virus Corona di Indonesia hari ini menjadi 236.519 orang.
Sementara untuk Provinsi Riau, pasien positif bertambah 225 orang. Dengan demikian, pasien Covid-19 di Riau berjumlah 4.687 orang sejak pandemi Covid-19 menyerang Indonesia.
Buat Provinsi Riau ini merupakan rekor baru karena rekor penambahan pasien positif Covid-19 sebelumnya berjumlah 194 orang, pada Kamis (10/9/2020) lalu.
Berdasarkan situs Kementerian Kesehatan RI, hari ini dilaporkan ada 4.088 pasien sembuh dari Corona. Dengan penambahan itu, maka pasien dinyatakan sembuh dari Corona di RI total berjumlah 170.774 orang.
Di sisi lain, pasien positif Corona yang meninggal dunia, Jumat (18/9/2020), berjumlah 114 orang. Dengan demikian, total pasien positif Covid-19 yang meninggal menjadi 9.336 orang.
Khusus Provinsi Riau, pasien sembuh hari ini berjumlah 195 orang, dengan demikian total pasien sembuh menjadi 2.012 orang.
Sementara pasien Covid-19 yang meninggal karena Corona di Provinsi Riau hari ini ada 3 orang, dengan demikian total meninggal sudah 95 orang.
Berikut sebaran 3.891 kasus baru Corona di Indonesia, Jumat (18/9/2020):
1. Aceh: 116 kasus.
2. Bali: 51 kasus.
3. Banten: 141 kasus.
4. Bangka Belitung: 1 kasus.
5. Bengkulu: 13 kasus.
6. DI Yogyakarta: 53 kasus.
7. DKI Jakarta: 1.258 kasus.
8. Jambi: 7 kasus.
9. Jawa Barat: 341 kasus.
10. Jawa Tengah: 198 kasus.
11. Jawa Timur: 485 kasus.
12. Kalimantan Barat: 15 kasus.
13. Kalimantan Timur: 119 kasus.
14. Kalimantan Tengah: 55 kasus.
15. Kalimantan Selatan: 25 kasus.
16. Kalimantan Utara: 2 kasus.
17. Kepulauan Riau: 88 kasus.
18. Nusa Tenggara Barat: 20 kasus.
19. Sumatera Selatan: 60 kasus.
20. Sumatera Barat: 134 kasus.
21. Sulawesi Utara: 20 kasus.
22. Sumatera Utara: 125 kasus.
23. Sulawesi Tenggara: 17 kasus.
24. Sulawesi Selatan: 159 kasus.
25. Sulawesi Tengah: 11 kasus.
26. Lampung: 7 kasus.
27. Riau: 225 kasus.
28. Maluku Utara: 1 kasus.
29. Maluku: 7 kasus.
30. Papua Barat: 54 kasus.
31. Papua: 58 kasus.
32. Sulawesi Barat: 2 kasus.
33. Nusa Tenggara Timur: 11 kasus.
34. Gorontalo: 12 kasus.(zon/riausatu.com)









Komentar