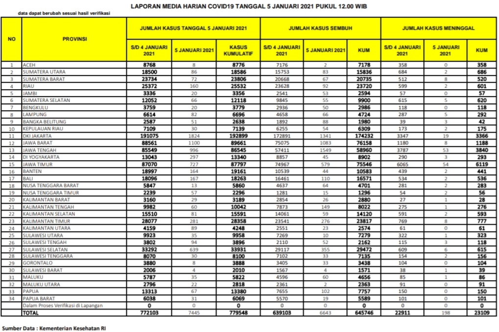
PEKANBARU – Kasus positif virus Corona (Covid-19) di Republik Indonesia (RI), Selasa (5/1/2021), bertambah 7.445 orang. Dengan penambahan tersebut, total kasus positif virus Corona di Indonesia menjadi 779.548 kasus.
Sementara untuk Provinsi Riau, pasien positif Corona bertambah 160 orang. Dengan demikian, total pasien Covid-19 di Riau berjumlah 25.532 orang sejak pandemi Covid-19 menyerang Indonesia.
Berdasarkan situs Kementerian Kesehatan RI, hari ini dilaporkan juga ada 6.643 pasien sembuh dari Corona. Dengan penambahan itu, maka pasien sembuh dari Corona di Indonesia menjadi 645.746 orang.
Khusus Provinsi Riau, pasien positif Covid-19 yang sembuh hari ini berjumlah 92 orang. Dengan demikian, total pasien sembuh di Negeri Lancang Kuning itu menjadi 23.720 orang.
Di sisi lain, pasien positif Corona yang meninggal dunia di Indonesia hari ini ada 198 orang. Dengan demikian, total pasien positif Covid-19 yang meninggal menjadi
23.109 orang.
Sementara pasien Covid-19 yang meninggal karena Corona di Provinsi Riau hari ini ada 2 orang, dengan demikian total sudah mencapai 601 orang.
Berikut sebaran 7.445 kasus baru Corona di Indonesia, Selasa (5/1/2021):
DKI Jakarta: 1.824 kasus
Jawa Barat: 1.100 kasus
Jawa Tengah: 996 kasus
Jawa Timur: 727 kasus
Sulawesi Selatan: 639 kasus
DI Yogyakarta: 297 kasus
Kalimantan Timur: 281 kasus
Bali: 167 kasus
Banten: 164 kasus
Riau: 160 kasus
Sulawesi Tengah: 94 kasus
Kalimantan Utara: 89 kasus
Sumatera Utara: 86 kasus
Lampung: 82 kasus
Kalimantan Selatan: 81 kasus
Sumatera Barat: 72 kasus
Papua: 67 kasus
Sumatera Selatan: 66 kasus
Kalimantan tengah: 60 kasus
Nusa Tenggara Timur: 57 kasus
Bangka Belitung: 51 kasus
Sulawesi Utara: 35 kasus
Maluku: 35 kasus
Papua Barat: 31 kasus
Kepulauan Riau: 30 kasus
Sulawesi tenggara: 30 kasus
Kalimantan Barat: 29 kasus
Maluku Utara: 22 kasus
Jambi: 20 kasus
Bengkulu: 20 kasus
Nusa Tenggara Barat: 13 kasus
Aceh: 8 kasus
Gorontalo: 8 kasus
Sulawesi Barat: 4 kasus. (zon/riausatu.com)










