oleh

Kasus Baru Corona Riau 9 November Kembali Turun Drastis, 125 Sembuh

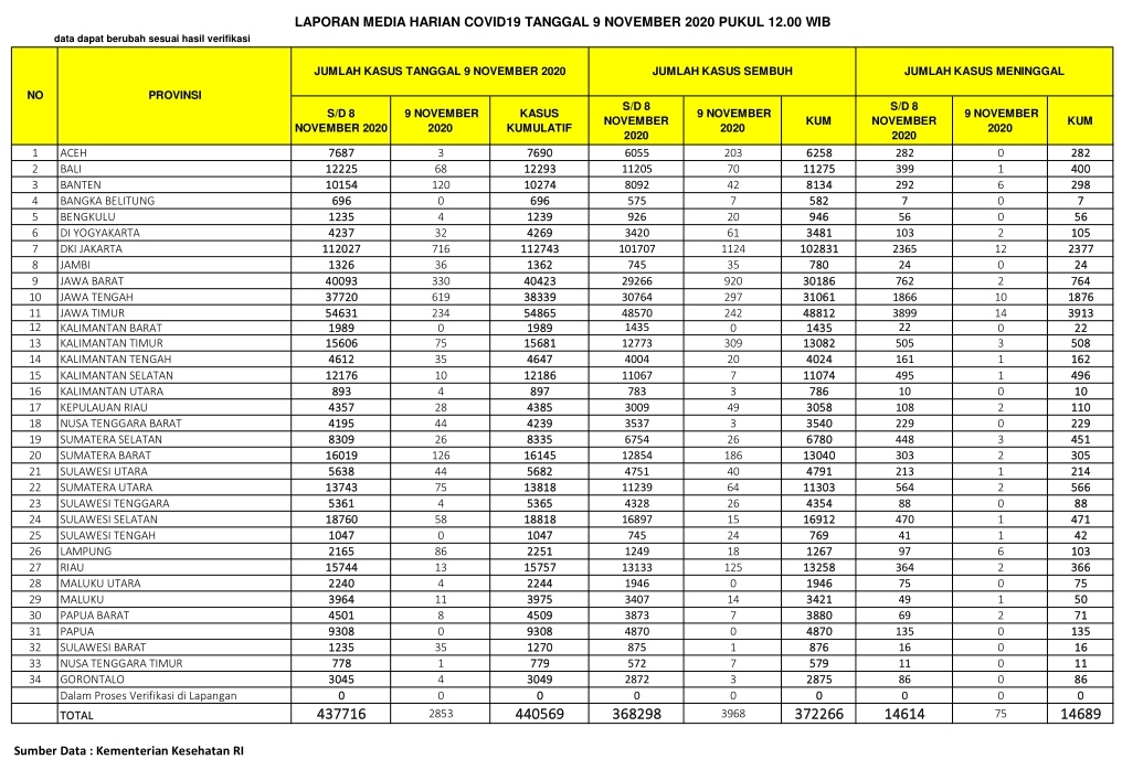
PEKANBARU – Kasus positif virus Corona (Covid-19) di Indonesia hari ini, Senin  (9/11/2020), bertambah 2.853 orang. Dengan penambahan tersebut, total kasus positif virus Corona di Indonesia menjadi 440.569 orang.

Sementara untuk Provinsi Riau, pasien positif Corona bertambah 13 orang. Dengan demikian, total pasien Covid-19 di Riau berjumlah 15.757 orang sejak pandemi Covid-19 menyerang Indonesia.

Berdasarkan situs Kementerian Kesehatan RI, hari ini dilaporkan juga ada 3.968 pasien sembuh dari Corona. Dengan penambahan itu, maka pasien sembuh dari Corona di RI total berjumlah 372.266 orang.

Baca Juga  Riau Peringkat Tiga, Ini Sebaran 5.436 Kasus Baru Corona di RI pada 23 April

Khusus Provinsi Riau, pasien positif Covid-19 yang sembuh hari ini berjumlah 125 orang. Dengan demikian, total pasien sembuh di Negeri Lancang Kuning itu menjadi 13.258 orang.

Di sisi lain, pasien positif Corona yang meninggal dunia di Indonesia hari ini ada 75 orang. Dengan demikian, total pasien positif Covid-19 yang meninggal menjadi 14.689 orang.

Sementara pasien Covid-19 yang meninggal karena Corona di Provinsi Riau hari ini ada 2 orang, dengan demikian total sudah mencapai 366 orang.

Baca Juga  Rekor Pecah! Kasus Corona di Riau Bertambah 99 Orang Hari Ini

Berikut sebaran 2.853 kasus baru Corona di Indonesia, Senin  (9/11/2020):

DKI Jakarta: 716 kasus
Jawa Tengah: 716 kasus
Jawa Barat: 330 kasus
Jawa Timur: 234 kasus
Sumatera Barat: 126 kasus
Banten: 120 kasus
Lampung: 86 kasus
Kalimantan Timur: 75 kasus
Sumatera Utara: 75 kasus
Bali: 68 kasus
Sulawesi Selatan: 58 kasus
Nusa Tenggara Barat: 44 kasus
Sulawesi Utara: 44 kasus
Jambi: 36 kasus
Kalimantan Tengah: 35 kasus
Sulawesi Barat: 35 kasus
DI Yogyakarta: 32 kasus
Kepulauan Riau: 28 kasus
Sumatera Selatan: 26 kasus
Riau: 13 kasus
Maluku: 11 kasus
Kalimantan Selatan: 10 kasus
Papua Barat: 8 kasus
Bengkulu: 4 kasus
Kalimantan Utara: 4 kasus
Sulawesi Tenggara: 4 kasus
Maluku Utara: 4 kasus
Gorontalo: 4 kasus
Aceh: 3 kasus
Nusa Tenggara Timur: 1 kasus. (zon/riausatu.com)

News Feed