oleh

Update Corona di Riau 6 Oktober: Tambah 131 Kasus, Meninggal 6

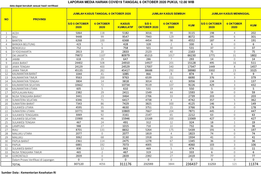
PEKANBARU – Kasus positif virus Corona (Covid-19) di Indonesia hari ini, Selasa (6/10/2020), bertambah 4.056 orang. Dengan penambahan tersebut, total kasus positif virus Corona di Indonesia hari ini menjadi 311.176 orang.

Sementara untuk Provinsi Riau, pasien positif Corona bertambah 131 orang. Dengan demikian, total pasien Covid-19 di Riau berjumlah 8.832 orang sejak pandemi Covid-19 menyerang Indonesia.

Berdasarkan situs Kementerian Kesehatan RI, hari ini dilaporkan juga ada 3.844 pasien sembuh dari Corona. Dengan penambahan itu, maka pasien sembuh dari Corona di RI total berjumlah 236.437 orang.

Baca Juga  Lagi Riau di Atas 100, Berikut Sebaran 6.393 Kasus Baru Corona di RI 9 Maret

Khusus Provinsi Riau, pasien positif Covid-19 yang sembuh hari ini berjumlah 175 orang. Dengan demikian, total pasien sembuh di Negeri Lancang Kuning itu menjadi 5.439 orang.

Di sisi lain, pasien positif Corona yang meninggal dunia di Indonesia hari ini ada 121 orang. Dengan demikian, total pasien positif Covid-19 yang meninggal menjadi 11.374 orang.

Sementara pasien Covid-19 yang meninggal karena Corona di Provinsi Riau hari ini ada 6 orang, dengan demikian total sudah mencapai 197 orang.

Baca Juga  563 Pasien Sembuh di Riau, Ini Sebaran 2.358 Kasus Baru Corona di RI 15 Mei

Berikut sebaran 4.056 kasus baru Corona di Indonesia, Selasa  (6/10/2020):

DKI Jakarta: 1.107 kasus
Jawa Barat: 508 kasus
Jawa Tengah: 400 kasus
Jawa Timur: 282 kasus
Kalimantan Timur: 200 kasus
Papua: 192 kasus
Riau: 131 kasus
Aceh: 118 kasus
Papua Barat: 114 kasus
Banten: 100 kasus
Bali: 99 kasus
Sumatera Utara: 98 kasus
Sulawesi Tenggara: 92 kasus
Sumatera Barat: 86 kasus
Kalimantan Selatan: 72 kasus
Sumatera Selatan: 71 kasus
Maluku: 68 kasus
Sulawesi Selatan: 46 kasus
Kalimantan Barat: 41 kasus
Sulawesi Utara: 35 kasus
Jambi: 29 kasus
Kepulauan Riau: 29 kasus
Lampung: 27 kasus
Sulawesi Tengah: 24 kasus
Nusa Tenggara Barat: 23 kasus
DI Yogyakarta: 20 kasus
Kalimantan Tengah: 14 kasus
Sulawesi Barat: 12 kasus
Bengkulu: 6 kasus
Bangka Belitung: 5 kasus
Kalimantan Utara: 5 kasus
Nusa tenggara Timur: 2 kasus. (zon/riausatu.com)

News Feed