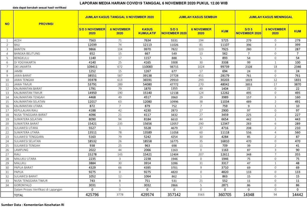
PEKANBARU – Kasus positif virus Corona (Covid-19) di Indonesia hari ini, Jumat (6/11/2020), bertambah 3.778 orang. Dengan penambahan tersebut, total kasus positif virus Corona di Indonesia menjadi 429.574 orang.
Sementara untuk Provinsi Riau, pasien positif Corona bertambah 143 orang. Dengan demikian, total pasien Covid-19 di Riau berjumlah 15.421 orang sejak pandemi Covid-19 menyerang Indonesia.
Berdasarkan situs Kementerian Kesehatan RI, hari ini dilaporkan juga ada 3.563 pasien sembuh dari Corona. Dengan penambahan itu, maka pasien sembuh dari Corona di RI total berjumlah 360.705 orang.
Khusus Provinsi Riau, pasien positif Covid-19 yang sembuh hari ini berjumlah 207 orang. Dengan demikian, total pasien sembuh di Negeri Lancang Kuning itu menjadi 12.611 orang.
Di sisi lain, pasien positif Corona yang meninggal dunia di Indonesia hari ini ada 94 orang. Dengan demikian, total pasien positif Covid-19 yang meninggal menjadi 14.442 orang.
Sementara pasien Covid-19 yang meninggal karena Corona di Provinsi Riau hari ini ada 7 orang, dengan demikian total sudah mencapai 355 orang.
Berikut sebaran 3.778 kasus baru Corona di Indonesia, Jumat (6/11/2020):
DKI Jakarta: 672 kasus
Jawa Tengah: 613 kasus
Jawa Barat: 587 kasus
Jawa Timur: 289 kasus
Sumatera Barat: 235 kasus
Kalimantan Timur: 190 kasus
Riau: 143 kasus
Banten: 104 kasus
Sumatera Selatan: 94 kasus
Kalimantan Barat: 79 kasus
Sulawesi Tenggara: 79 kasus
Sumatera Utara: 78 kasus
Bali: 74 kasus
Aceh: 71 kasus
Papua Barat: 66 kasus
Kalimantan Selatan: 63 kasus
Kalimantan Tengah: 49 kasus
Lampung: 44 kasus
Kepulauan Riau: 42 kasus
Maluku: 30 kasus
Sulawesi Selatan: 26 kasus
DI Yogyakarta: 25 kasus
Sulawesi Tengah: 25 kasus
NTB: 21 kasus
Bengkulu: 17 kasus
Bangka Belitung: 15 kasus
Jambi: 15 kasus
Sulawesi Barat: 12 kasus
NTT: 8 kasus
Kalimantan Utara: 7 kasus
Maluku Utara: 3 kasus
Sulawesi Utara: 1 kasus
Gorontalo: 1 kasus. (zon/riausatu.com)








