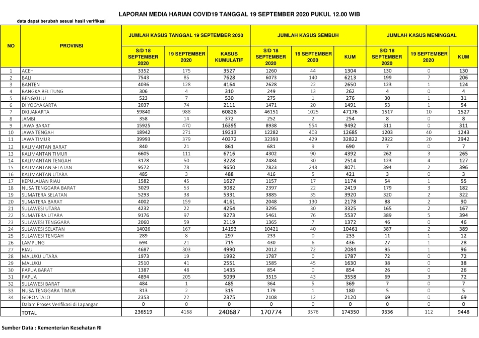
PEKANBARU – Kasus positif virus Corona (Covid-19) di Indonesia hari ini, Sabtu (19/9/2020), bertambah 4.168 orang. Dengan penambahan tersebut, total kasus positif virus Corona di Indonesia hari ini menjadi 240.687 orang.
Bagi Indonesia, angka 4.168 tercatat sebagai rekor baru tambahan kasus pasien positif Covid-19 sejak pandemi ini menyerang Indonesia.
Sementara untuk Provinsi Riau, pasien positif bertambah 303 orang. Dengan demikian, pasien Covid-19 di Riau berjumlah 4.990 orang.
Buat Provinsi Riau ini juga merupakan rekor baru karena rekor penambahan pasien positif Covid-19 per hari sebelumnya berjumlah 225 orang, pada Jumat (18/9/2020) lalu.
Berdasarkan situs Kementerian Kesehatan RI, dilaporkan ada 3.576 pasien sembuh dari Corona. Dengan penambahan itu, maka pasien dinyatakan sembuh dari Corona di RI total berjumlah 174.350 orang.
Di sisi lain, pasien positif Corona yang meninggal dunia, Sabtu (19/9/2020), berjumlah 112 orang. Dengan demikian, total pasien positif Covid-19 yang meninggal menjadi 9.448 orang.
Khusus Provinsi Riau, pasien sembuh hari ini berjumlah 72 orang, dengan demikian total pasien sembuh menjadi 2.084 orang.
Sementara pasien Covid-19 yang meninggal karena Corona di Provinsi Riau hari ini ada 1 orang, dengan demikian total 96 orang.
Berikut sebaran 4.168 kasus baru Corona di Indonesia, Sabtu (19/9/2020):
DKI Jakarta: 988 kasus
Jawa Barat : 470 kasus
Jawa Timur : 379 kasus
Riau : 303 kasus
Jawa Tengah : 271 kasus
Papua : 205 kasus
Aceh : 175 kasus
Sulawesi Selatan :167 kasus
Sumatera Barat : 159 kasus
Banten : 128 kasus
Kalimantan Timur : 111 kasus
Sumatera Utara : 97 kasus
Bali : 85 kasus
Kalimantan Selatan : 78 kasus
DI Yogyakarta : 74 kasus
Sulawesi Tenggara : 59 kasus
Nusa Tenggara Barat : 53 kasus
Kalimantan Tengah : 50 kasus
Papua Barat :48 kasus
Kepulauan Riau : 45 kasus
Maluku : 41 kasus
Sumatera Selatan : 38 kasus
Sulawesi Utara : 22 kasus
Gorontalo : 22 kasus
Kalimantan Barat : 21 kasus
Lampung : 21 kasus
Maluku Utara : 19 kasus
Jambi : 14 kasus
Sulawesi Tengah : 8 kasus
Bengkulu : 7 kasus
Bangka Belitung : 4 kasus
Kalimantan Utara : 3 kasus
Nusa Tenggara Timur : 2 kasus
Sulawesi Barat : 1 kasus. (zon/riausatu.com)








