oleh

Berikut Sebaran 6.089 Kasus Corona RI 6 Desember, Riau Peringkat Kelima

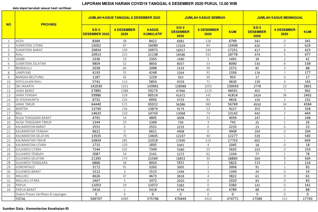
PEKANBARU – Kasus positif virus Corona (Covid-19) di Republik Indonesia (RI), Ahad (6/12/2020), bertambah 6.089 orang. Dengan penambahan tersebut, total kasus positif virus Corona di Indonesia menjadi 575.796 orang.

Sementara untuk Provinsi Riau, pasien positif Corona bertambah 225 orang. Dengan demikian, total pasien Covid-19 di Riau berjumlah 21.138 orang sejak pandemi Covid-19 menyerang Indonesia.

Berdasarkan situs Kementerian Kesehatan RI, hari ini dilaporkan juga ada 4.322 pasien sembuh dari Corona. Dengan penambahan itu, maka pasien sembuh dari Corona di Indonesia  menjadi 474.771 orang.

Baca Juga  Tim Inisiator Pemekaran Kabupaten Kota di Riau Agendakan Pertemuan dengan Mendagri

Khusus Provinsi Riau, pasien positif Covid-19 yang sembuh hari ini berjumlah 192 orang. Dengan demikian, total pasien sembuh di Negeri Lancang Kuning itu menjadi 18.778 orang.

Di sisi lain, pasien positif Corona yang meninggal dunia di Indonesia hari ini ada 151 orang. Dengan demikian, total pasien positif Covid-19 yang meninggal menjadi 17.740 orang.

Sementara pasien Covid-19 yang meninggal karena Corona di Provinsi Riau hari ini ada 3 orang, dengan demikian total sudah mencapai 477 orang.

Baca Juga  Prabowo Usai Terima Dukungan JoMan: Saya Berasa Makin Optimis dan Lebih Muda 23 Tahun

Berikut sebaran 6.089 kasus baru Corona di Indonesia, Ahad  (6/12/2020):

Jawa Barat: 1.388 kasus

DKI Jakarta: 1.331 kasus
Jawa Timur: 572 kasus
Jawa Tengah: 528 kasus
Riau: 225 kasus
DI Yogyakarta: 224 kasus
Kalimantan Timur: 185 kasus
Sulawesi Selatan: 174 kasus
Sumatera Barat: 139 kasus
Banten: 134 kasus
Kalimantan Utara: 120 kasus
Kepulauan Riau: 113 kasus
Bali: 110 kasus
Sulawesi Utara: 105 kasus
Gorontalo: 91 kasus
Sumatera Utara: 87 kasus
Kalimantan Selatan: 70 kasus
Bengkulu: 60 kasus
Sulawesi Tenggara: 58 kasus
Lampung: 55 kasus
Sulawesi Tengah: 54 kasus
Sumatera Selatan: 52 kasus
Maluku: 47 kasus
Bangka Belitung: 42 kasus
Aceh: 38 kasus
Nusa Tenggara Timur: 25 kasus
Jambi: 19 kasus
Papua: 19 kasus
Nusa Tenggara Barat: 14 kasus
Maluku Utara: 5 kasus
Sulawesi Barat: 3 kasus
Papua Barat: 2 kasus. (zon/riausatu.com)

News Feed