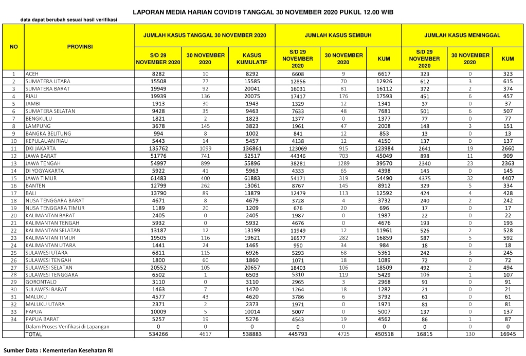
PEKANBARU – Kasus positif virus Corona (Covid-19) di Indonesia, Senin (30/11/2020), bertambah 4.617 orang. Dengan penambahan tersebut, total kasus positif virus Corona di Indonesia menjadi 538.883 orang.
Sementara untuk Provinsi Riau, pasien positif Corona bertambah 136 orang. Dengan demikian, total pasien Covid-19 di Riau berjumlah 20.075 orang sejak pandemi Covid-19 menyerang Indonesia.
Berdasarkan situs Kementerian Kesehatan RI, hari ini dilaporkan juga ada 4.725 pasien sembuh dari Corona. Dengan penambahan itu, maka pasien sembuh dari Corona di Indonesia menjadi 450.518 orang.
Khusus Provinsi Riau, pasien positif Covid-19 yang sembuh hari ini berjumlah 176 orang. Dengan demikian, total pasien sembuh di Negeri Lancang Kuning itu menjadi 17.593 orang.
Di sisi lain, pasien positif Corona yang meninggal dunia di Indonesia hari ini ada 130 orang. Dengan demikian, total pasien positif Covid-19 yang meninggal menjadi 16.945 orang.
Sementara pasien Covid-19 yang meninggal karena Corona di Provinsi Riau hari ini ada 6 orang, dengan demikian total sudah mencapai 457 orang.
Berikut sebaran 4.617 kasus baru Corona di Indonesia, Senin (30/11/2020):
DKI Jakarta: 1.099 kasus
Jawa Tengah: 899 kasus
Jawa Barat: 741 kasus
Jawa Timur: 400 kasus
Banten: 262 kasus
Lampung: 145 kasus
Riau: 136 kasus
Kalimantan Timur: 116 kasus
Sulawesi Utara: 115 kasus
Sulawesi Selatan: 105 kasus
Sumatera Barat: 92 kasus
Bali: 89 kasus
Sumatera Utara: 77 kasus
Sulawesi Tengah: 60 kasus
Maluku: 43 kasus
DI Yogyakarta: 41 kasus
Sumatera Selatan: 35 kasus
Jambi: 30 kasus
Kalimantan Utara: 24 kasus
Nusa Tenggara Timur: 20 kasus
Papua Barat: 19 kasus
Kepulauan Riau: 14 kasus
Kalimantan Selatan: 12 kasus
Aceh: 10 kasus
Bangka Belitung: 8 kasus
Nusa Tenggara Barat: 8 kasus
Sulawesi Barat: 7 kasus
Papua: 5 kasus
Bengkulu: 2 kasus
Maluku Utara: 2 kasus
Sulawesi Tenggara: 1 kasus. (zon/riausatu.com)








