oleh

Rekor 13.038 Sembuh dari Corona di RI 8 Februari, Riau Tambah 62 Kasus Baru

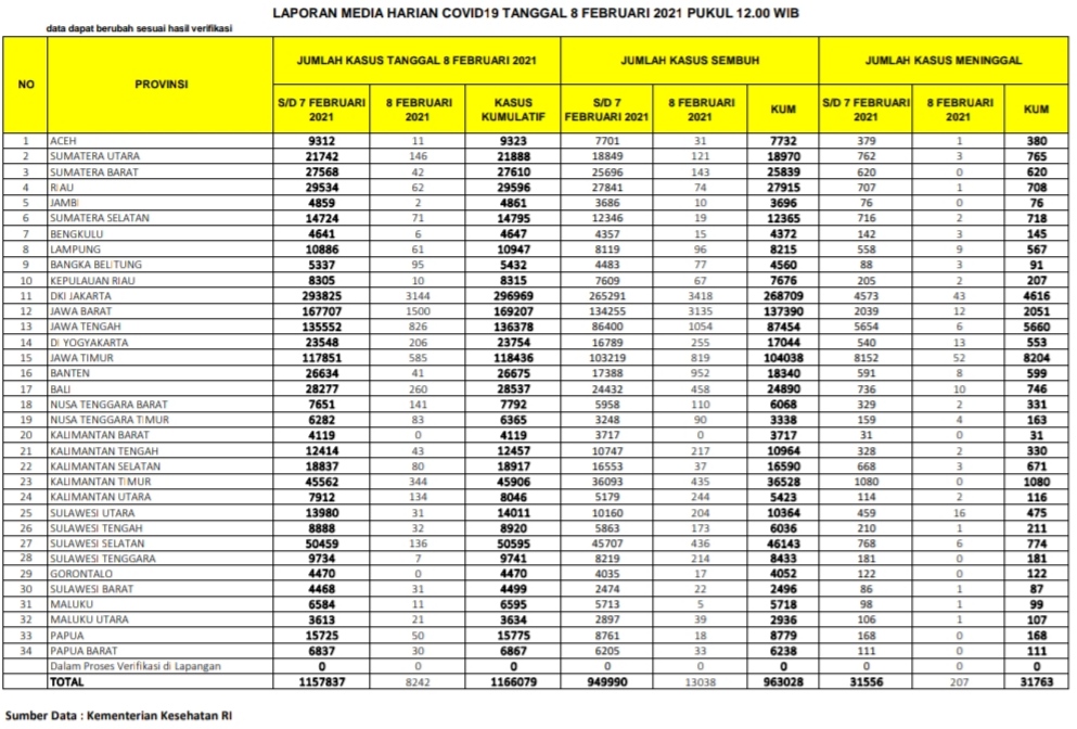
PEKANBARU – Kasus positif virus Corona (Covid-19) di Republik Indonesia (RI), Senin (8/2/2021), bertambah 8.242 orang. Dengan penambahan tersebut, total kasus positif virus Corona di Indonesia menjadi 1.166.079 kasus.

Sementara untuk Provinsi Riau, pasien positif Corona bertambah 62 orang. Dengan demikian, total pasien Covid-19 di Riau berjumlah 29.596 pandemi Covid-19 menyerang Indonesia.

Berdasarkan situs Kementerian Kesehatan RI, hari ini dilaporkan juga ada 13.038 pasien sembuh dari Corona. Dengan penambahan itu, maka pasien sembuh dari Corona di Indonesia menjadi 963.028 orang.

Baca Juga  Novrizon Burman Pengurus Pusat, Luna Agustin Plt Ketua SMSI Riau

Khusus Provinsi Riau, pasien positif Covid-19 yang sembuh hari ini berjumlah 74 orang. Dengan demikian, total pasien sembuh di Negeri Lancang Kuning itu menjadi 27.915 orang.

Di sisi lain, pasien positif Corona yang meninggal dunia di Indonesia hari ini ada 207 orang. Dengan demikian, total pasien positif Covid-19 yang meninggal menjadi 31.763 orang.

Sementara pasien Covid-19 yang meninggal karena Corona di Provinsi Riau hari ini ada 1 orang, dengan demikian total sudah mencapai 708 orang.

Baca Juga  2 Januari 2021: Corona RI Tambah 7.023 Kasus-7.582 Sembuh, Riau Tambah 68

Berikut sebaran 8.242 kasus baru Corona di Indonesia, Senin (8/2/2021):

DKI Jakarta: 3.144 kasus
Jawa Barat: 1.500 kasus
Jawa Tengah: 826 kasus
Jawa Timur: 585 kasus
Kalimantan timur: 344 kasus
Bali: 260 kasus
DI Yogyakarta: 206 kasus
Sumatera Utara: 146 kasus
Nusa Tenggara Barat: 141 kasus
Sulawesi Selatan: 136 kasus
Kalimantan Utara: 134 kasus
Bangka Belitung: 95 kasus
Nusa Tenggara Timur: 83 kasus
Kalimantan Selatan: 80 kasus
Sumatera Selatan: 71 kasus
Riau: 62 kasus
Lampung: 61 kasus
Papua: 50 kasus
Kalimantan Tengah: 43 kasus
Sumatera Barat: 42 kasus
Banten: 41 kasus
Sulawesi Tengah: 32 kasus
Sulawesi Utara: 31 kasus
Sulawesi Barat: 31 kasus
Papua Barat: 30 kasus
Maluku Utara: 21 kasus
Aceh: 11 kasus
Maluku: 11 kasus
Kepulauan Riau: 10 kasus
Sulawesi Tenggara: 7 kasus
Bengkulu: 6 kasus
Jambi: 2 kasus. (zon/riausatu.com)

News Feed