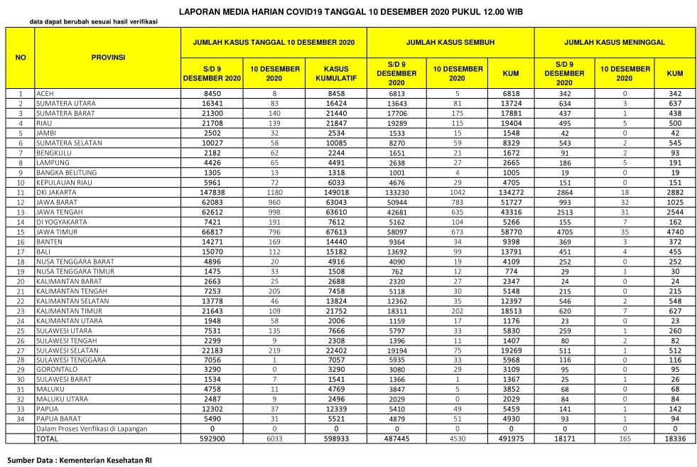
PEKANBARU – Kasus positif virus Corona (Covid-19) di Republik Indonesia (RI), Kamis (10/12/2020), bertambah 6.033 orang. Dengan penambahan tersebut, total kasus positif virus Corona di Indonesia menjadi 598.933 orang.
Sementara untuk Provinsi Riau, pasien positif Corona bertambah 139 orang. Dengan demikian, total pasien Covid-19 di Riau berjumlah 21.847 orang sejak pandemi Covid-19 menyerang Indonesia.
Berdasarkan situs Kementerian Kesehatan RI, hari ini dilaporkan juga ada 4.530 pasien sembuh dari Corona. Dengan penambahan itu, maka pasien sembuh dari Corona di Indonesia menjadi 491.975 orang.
Khusus Provinsi Riau, pasien positif Covid-19 yang sembuh hari ini berjumlah 115 orang. Dengan demikian, total pasien sembuh di Negeri Lancang Kuning itu menjadi 19.404 orang.
Di sisi lain, pasien positif Corona yang meninggal dunia di Indonesia hari ini ada 165 orang. Dengan demikian, total pasien positif Covid-19 yang meninggal menjadi 18.336 orang.
Sementara pasien Covid-19 yang meninggal karena Corona di Provinsi Riau hari ini ada 5 orang, dengan demikian total sudah mencapai 500 orang.
Berikut sebaran 6.033 kasus baru Corona di Indonesia, Kamis (10/12/2020):
1. Aceh: 5 kasus
2. Sumut: 81 kasus
3. Sumbar: 175 kasus
4. Riau: 115 kasus
5. Jambi: 15 kasus
6. Sumsel: 59 kasus
7. Bengkulu: 21 kasus
8. Lampung: 27 kasus
9. Babel: 4 kasus
10. Kepri: 29 kasus
11. Jakarta: 1.042 kasus
12. Jabar: 783 jasus
13. Jateng: 635 kasus
14. DIY: 104 kasus
15. Jatim: 673 kasus
16. Banten: 34 kasus
17. Bali: 99 kasus
18. NTB: 19 kasus
19. NTT: 12 kasus
20. Kalbar: 27 kasus
21. Kalteng: 30 kasus
22. Kalsel: 35 kasus
23. Kaltim: 202 kasus
24. Kaltara: 17 kasus
25. Sulut: 33 kasus
26. Sulteng: 11 kasus
27. Sulsel: 75 kasus
28. Sultra: 33 kasus
29. Gorontalo: 29 kasus
30. Sulbar: 1 kasus
31. Maluku: 5 kasus
32. Maluku Utara: 0 kasus
33. Papua: 49 kasus
34. Papua Barat: 51 kasus. (zon/riausatu.com)








