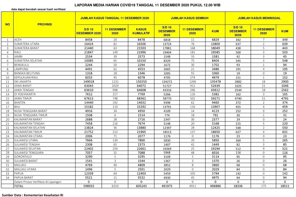
PEKANBARU – Kasus positif virus Corona (Covid-19) di Republik Indonesia (RI), Jumat (11/12/2020), bertambah 6.310 orang. Dengan penambahan tersebut, total kasus positif virus Corona di Indonesia menjadi 605.243 orang.
Sementara untuk Provinsi Riau, pasien positif Corona bertambah 149 orang. Dengan demikian, total pasien Covid-19 di Riau berjumlah 21.996 orang sejak pandemi Covid-19 menyerang Indonesia.
Berdasarkan situs Kementerian Kesehatan RI, hari ini dilaporkan juga ada 4.911 pasien sembuh dari Corona. Dengan penambahan itu, maka pasien sembuh dari Corona di Indonesia menjadi 496.886 orang.
Khusus Provinsi Riau, pasien positif Covid-19 yang sembuh hari ini berjumlah 181 orang. Dengan demikian, total pasien sembuh di Negeri Lancang Kuning itu menjadi 19.585 orang.
Di sisi lain, pasien positif Corona yang meninggal dunia di Indonesia hari ini ada 175 orang. Dengan demikian, total pasien positif Covid-19 yang meninggal menjadi 18.511 orang.
Sementara pasien Covid-19 yang meninggal karena Corona di Provinsi Riau hari ini ada 3 orang, dengan demikian total sudah mencapai 503 orang. (zon/riausatu.com)








