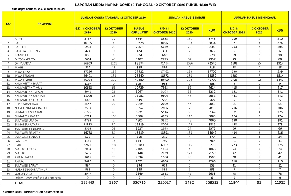
PEKANBARU – Kasus positif virus Corona (Covid-19) di Indonesia hari ini, Senin (12/10/2020), bertambah 3.267 orang. Dengan penambahan tersebut, total kasus positif virus Corona di Indonesia hari ini menjadi 336.716 orang.
Sementara untuk Provinsi Riau, pasien positif Corona bertambah 209 orang. Dengan demikian, total pasien Covid-19 di Riau berjumlah 10.180 orang sejak pandemi Covid-19 menyerang Indonesia.
Berdasarkan situs Kementerian Kesehatan RI, hari ini dilaporkan juga ada 3.492 pasien sembuh dari Corona. Dengan penambahan itu, maka pasien sembuh dari Corona di RI total berjumlah 258.519 orang.
Khusus Provinsi Riau, pasien positif Covid-19 yang sembuh hari ini berjumlah 116 orang. Dengan demikian, total pasien sembuh di Negeri Lancang Kuning itu menjadi 6.223 orang.
Di sisi lain, pasien positif Corona yang meninggal dunia di Indonesia hari ini ada 91 orang. Dengan demikian, total pasien positif Covid-19 yang meninggal menjadi 11.935 orang.
Sementara pasien Covid-19 yang meninggal karena Corona di Provinsi Riau hari ini ada 2 orang, dengan demikian total sudah mencapai 225 orang.
Berikut sebaran 3.267 kasus baru Corona di Indonesia, Senin (12/10/2020):
DKI Jakarta: 1.211 kasus
Jawa Timur: 296 kasus
Jawa Barat: 286 kasus
Jawa Tengah: 239 kasus
Riau: 209 kasus
Sumatera Barat: 166 kasus
Bali: 93 kasus
Sumatera Utara: 87 kasus
Sulawesi Selatan: 81 kasus
Banten: 79 kasus
Aceh: 77 kasus
Kepulauan Riau: 72 kasus
Kalimantan Timur: 66 kasus
Sulawesi Tenggara: 59 kasus
Sumatera Selatan: 45 kasus
DI Yogyakarta: 43 kasus
Kalimantan Tengah: 26 kasus
Kalimantan Selatan: 26 kasus
Papua Barat: 20 kasus
Lampung: 16 kasus
Maluku Utara: 16 kasus
Nusa Tenggara Barat: 15 kasus
Jambi: 13 kasus
Maluku: 13 kasus
Sulawesi Utara: 5 kasus
Kalimantan Utara: 4 kasus
Gorontalo: 2 kasus
Bengkulu: 1 kasus
Sulawesi Tengah 1 kasus. (zon/riausatu.com)

