oleh

Alhamdulillah! Kasus Baru Corona di Riau Hari Ini Turun Drastis

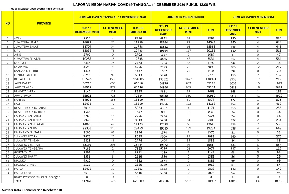
PEKANBARU – Kasus positif virus Corona (Covid-19) di Indonesia, Senin (14/12/2020), bertambah 5.489 orang. Dengan penambahan tersebut, total kasus positif virus Corona di Indonesia menjadi 623.309 orang.

Sementara untuk Provinsi Riau, pasien positif Corona bertambah 78 orang. Dengan demikian, total pasien Covid-19 di Riau berjumlah 22.433 orang sejak pandemi Covid-19 menyerang Indonesia.

Bila dibandingkan dengan penambahan kasus positif harian Corona di Riau beberapa hari terakhir, angka 78 kasus baru hari ini bisa dikatakan turun drastis.

Baca Juga  PHR Diduga Kembangkan Sumur Pengeboran Blok Rokan dengan Tanah Urug Illegal Mining

Berdasarkan situs Kementerian Kesehatan RI, hari ini dilaporkan juga ada 5.121pasien sembuh dari Corona. Dengan penambahan itu, maka pasien sembuh dari Corona di Indonesia  menjadi 510.957 orang.

Khusus Provinsi Riau, pasien positif Covid-19 yang sembuh hari ini berjumlah 167 orang. Dengan demikian, total pasien sembuh di Negeri Lancang Kuning itu menjadi 20.131 orang.

Di sisi lain, pasien positif Corona yang meninggal dunia di Indonesia hari ini ada 137 orang. Dengan demikian, total pasien positif Covid-19 yang meninggal menjadi 18.956 orang.

Baca Juga  8 Pengurus DPD Bapera Kabupaten Kota se-Riau Dilantik, Ini Pesan Ketum DPP Bapera Fahd A Rafiq

Sementara pasien Covid-19 yang meninggal karena Corona di Provinsi Riau hari ini ada 3 orang, dengan demikian total sudah mencapai 513 orang.

Berikut sebaran 5.489 kasus baru Corona di Indonesia, Senin (14/12/2020):

DKI Jakarta: 1.506 kasus

Jawa Tengah: 979 kasus

Jawa Timur: 713 kasus

Jawa Barat: 600 kasus

Sulawesi Selatan: 295 kasus

Banten: 138 kasus

Kalimantan Timur: 116 kasus

DI Yogyakarta: 111 kasus

Kepulauan Riau: 97 kasus

Kalimantan Utara: 88 kasus

Sumatera Utara: 87 kasus

Baca Juga  Riau Tambah 473, Berikut Sebaran 5.662 Kasus Baru Corona di Indonesia 31 Mei

Sulawesi Utara: 87 kasus

Riau: 78 kasus

Lampung: 78 kasus

Bali: 77 kasus

Kalimantan Tengah: 73 kasus

Sumatera Barat: 54 kasus

Sumatera Selatan: 48 kasus

Kalimantan Selatan: 48 kasus

Nusa Tenggara Barat: 47 kasus

Sulawesi Tengah: 46 kasus

Papua: 31 kasus

Bengkulu: 28 kasus

Gorontalo: 15 kasus

Bangka Belitung: 13 kasus

Kalimantan Barat: 11 kasus

Maluku Utara: 9 kasus

Papua Barat: 6 kasus

Aceh: 4 kasus

Sulawesi Barat: 3 kasus

Sulawesi Tenggara: 2 kasus

Nusa Tenggara Timur: 1 kasus. (zon/riausatu.com)

News Feed