oleh

Update Corona di Riau 13 Desember: Total 22.355 Kasus, 19.964 Sembuh

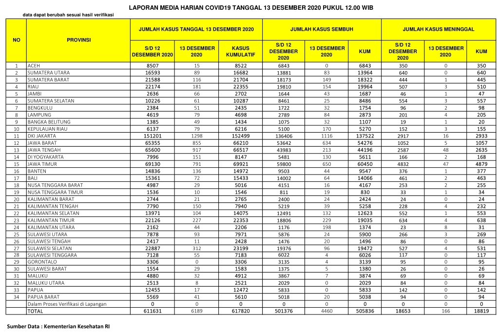
PEKANBARU – Kasus positif virus Corona (Covid-19) di Republik Indonesia (RI), Ahad  (13/12/2020), bertambah 6.189 orang. Dengan penambahan tersebut, total kasus positif virus Corona di Indonesia menjadi 617.820 orang.

Sementara untuk Provinsi Riau, pasien positif Corona bertambah 181 orang. Dengan demikian, total pasien Covid-19 di Riau berjumlah 22.355 orang sejak pandemi Covid-19 menyerang Indonesia.

Berdasarkan situs Kementerian Kesehatan RI, hari ini dilaporkan juga ada 4.460 pasien sembuh dari Corona. Dengan penambahan itu, maka pasien sembuh dari Corona di Indonesia  menjadi 505.836 orang.

Baca Juga  Riau di Atas 600, Berikut Sebaran 5.944 Kasus Baru Corona di RI pada 26 April

Khusus Provinsi Riau, pasien positif Covid-19 yang sembuh hari ini berjumlah 154 orang. Dengan demikian, total pasien sembuh di Negeri Lancang Kuning itu menjadi 19.964 orang.

Di sisi lain, pasien positif Corona yang meninggal dunia di Indonesia hari ini ada 166 orang. Dengan demikian, total pasien positif Covid-19 yang meninggal menjadi 18.819 orang.

Sementara pasien Covid-19 yang meninggal karena Corona di Provinsi Riau hari ini ada 3 orang, dengan demikian total sudah mencapai 510 orang.

Baca Juga  Riau Tambah 118, Ini Sebaran 3.948 Kasus Baru Corona RI 15 September

Berikut sebaran 6.189 kasus baru Corona di Indonesia, Ahad  (13/12/2020):

1. Aceh: 15 kasus
2. Sumut: 89 kasus
3. Sumbar: 116 kasus
4. Riau: 181 kasus
5. Jambi: 66 kasus
6. Sumsel: 61 kasus
7. Bengkulu: 51 kasus
8. Lampung: 79 kasus
9. Babel: 49 kasus
10. Kepri: 79 kasus
11. Jakarta: 1.298 kasus
12. Jabar: 855 kasus
13. Jateng: 917 kasus
14. DIY: 151 kasus
15. Jatim: 791 kasus
16. Banten: 136 kasus
17. Bali: 72 kasus
18. NTB: 29 kasus
19. NTT: 10 kasus
20. Kalbar: 21 kasus
21. Kalteng: 150 kasus
22. Kalsel: 104 kasus
23. Kaltim: 227 kasus
24. Kaltara: 44 kasus
25. Sulut: 93 kasus
26. Sulteng: 11 kasus
27. Sulsel: 312 kasus
28. Sultra: 55 kasus
29. Gorontalo: 0 kasus
30. Sulbar: 29 kasus
31. Maluku: 32 kasus
32. Maluku Utara: 8 kasus
33. Papua: 17 kasus
34. Papua Barat: 41 kasus. (zon/riausatu.com)

News Feed