oleh

Naik Lagi! Kasus Baru Corona Riau Hari Ini 145, Meninggal 5 Orang

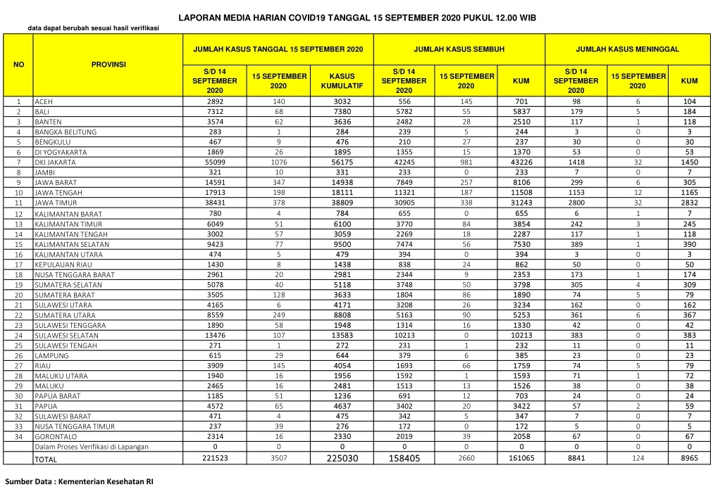
PEKANBARU – Kasus positif virus Corona (Covid-19) di Indonesia hari ini, Selasa (15/9/2020), bertambah 3.507 orang. Dengan penambahan tersebut, total kasus positif virus Corona di Indonesia hari ini menjadi 225.030 orang.

Sementara untuk Provinsi Riau, pasien positif Corona bertambah, 145 orang. Dengan demikian, total pasien Covid-19 di Riau berjumlah 4.054 orang sejak pandemi Covid-19 menyerang Indonesia.

Bila dibandingkan Senin (14/9/2020) kemarin, yang penambahan kasus pasien positif Corona berjumlah 128 orang, kasus penambahan pasien positif Covid-19 hari ini kembali mengalami kenaikan.

Baca Juga  KNPI Minta PT. Saipem Komitmen Dengan Penyerapan Tenaga Kerja Lokal

Berdasarkan situs Kementerian Kesehatan RI, hari ini dilaporkan juga ada 2.660 pasien sembuh dari Corona. Dengan penambahan itu, maka pasien sembuh dari Corona di RI total berjumlah 161.065 orang.

Khusus Provinsi Riau, pasien positif Covid-19 yang sembuh hari ini berjumlah 66 orang. Dengan demikian, total pasien sembuh di Negeri Lancang Kuning itu menjadi 1.759 orang.

Di sisi lain, pasien positif Corona yang meninggal dunia di Indonesia hari ini berjumlah 124 orang. Dengan demikian, total pasien positif Covid-19 yang meninggal menjadi 8.965 orang.

Baca Juga  KBRI Mexico City Gelar Perayaan 68 Tahun Hubungan Diplomatik Kedua Negara

Sementara pasien Covid-19 yang meninggal karena Corona di Provinsi Riau hari ini ada 5 orang, dengan demikian total sudah mencapai 79 orang.

Berikut sebaran 3.507 kasus baru Corona di Indonesia, Selasa (15/9/2020):

DKI Jakarta: 1.076 kasus

Jawa Timur: 378 kasus

Jawa Barat: 347 kasus

Sumatera Utara : 249 kasus

Jawa Tengah : 198 kasus

Riau : 145 kasus

Aceh : 140 kasus

Sumatera Barat : 128 kasus

Sumatera Selatan : 107 kasus

Kalimantan Selatan : 77 kasus

Bali : 68 kasus

Baca Juga  Update Corona Riau 23 Februari: Tambah 116 Kasus Baru, 59 Sembuh, 3 Meninggal

Papua : 65 kasus

Banten : 62 kasus

Sulawesi Tenggara : 58 kasus

Kalimantan Tengah : 57 kasus

Kalimantan Timur : 51 kasus

Papua Barat : 51 kasus

Sumatera Selatan : 40 kasus

Nusa Tenggara Timur : 39 kasus

Lampung : 29 kasus

DI Yogyakarta: 26 kasus

Nusa Tenggara Barat : 20 kasus

Maluku Utara : 16 kasus

Maluku : 16 kasus

Gorontalo : 16 kasus

Jambi : 10 kasus

Bengkulu : 9 kasus

Kepulauan Riau : 8 kasus

Sulawesi Utara : 6 kasus

Kalimantan Utara : 5 kasus

Kalimantan Barat : 4 kasus

Sulawesi Barat : 4 kasus

Bangka Belitung : 1 kasus

Sulawesi Tengah : 1 kasus. (zon/riausatu.com)

Komentar

News Feed