oleh

Turun! Kasus Baru Corona Riau Hari Ini 128, Meninggal 4 Orang

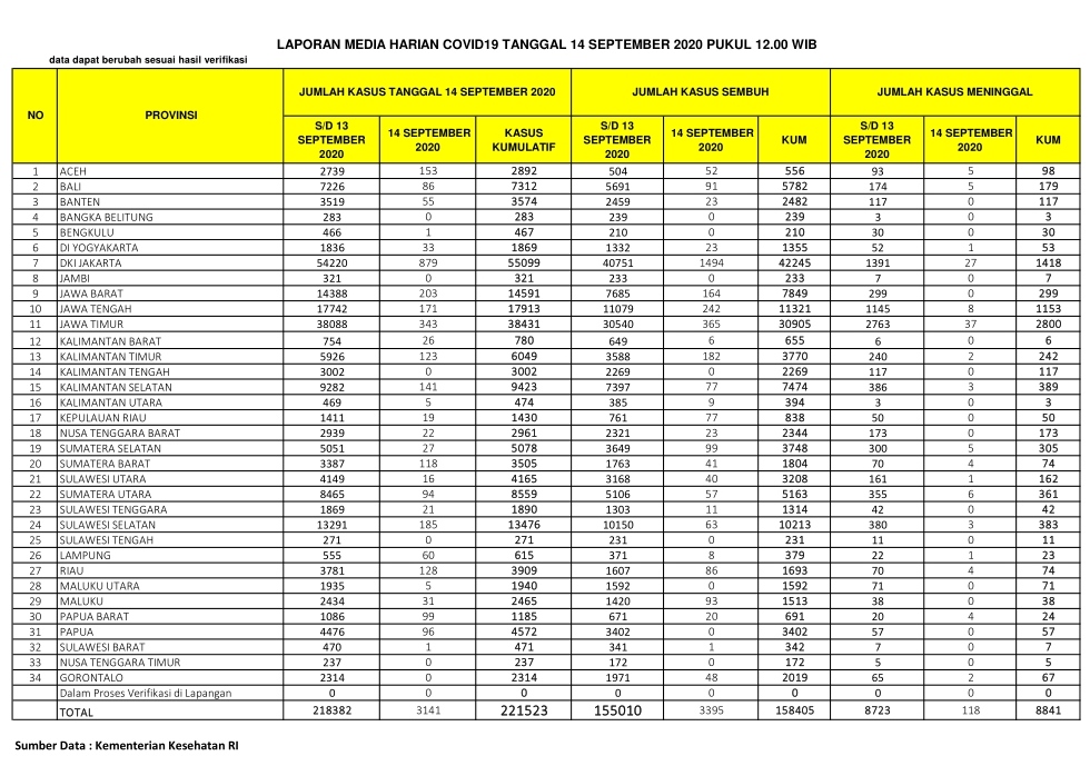
PEKANBARU – Kasus positif virus Corona (Covid-19) di Indonesia hari ini, Senin (14/9/2020), bertambah 3.141 orang. Dengan penambahan tersebut, total kasus positif virus Corona di Indonesia hari ini menjadi 221.523 orang.

Sementara untuk Provinsi Riau, pasien positif Corona bertambah, 128 orang. Dengan demikian, total pasien Covid-19 di Riau berjumlah 3.909 orang sejak pandemi Covid-19 menyerang Indonesia.

Bila dibandingkan Ahad (13/9/2020) kemarin, yang penambahan kasus pasien positif Corona berjumlah 215 orang, kasus penambahan pasien positif Covid-19 hari ini berkurang cukup signifikan.

Baca Juga  Warga Sungaipenuh dan Kerinci Dihimbau Tetap Patuhi Prokes

Berdasarkan situs Kementerian Kesehatan RI, hari ini dilaporkan juga ada 3.395 pasien sembuh dari Corona. Dengan penambahan itu, maka pasien sembuh dari Corona di RI total berjumlah 158.405 orang.

Khusus Provinsi Riau, pasien positif Covid-19 yang sembuh hari ini berjumlah 86 orang. Dengan demikian, total pasien sembuh di Negeri Lancang Kuning itu menjadi 1.693 orang.

Di sisi lain, pasien positif Corona yang meninggal dunia di Indonesia hari ini berjumlah 118 orang. Dengan demikian, total pasien positif Covid-19 yang meninggal menjadi 8.841 orang.

Baca Juga  Ini Sebaran 760 Kasus Baru Corona RI pada 22 Oktober, Riau Tambah 20

Sementara pasien Covid-19 yang meninggal karena Corona di Provinsi Riau hari ini ada 4 orang, dengan demikian total sudah mencapai 74 orang.

Berikut sebaran 3.141 kasus baru Corona di Indonesia, Senin (14/9/2020):

DKI Jakarta: 879 kasus

Jawa Timur: 343 kasus

Jawa Barat: 203 kasus

Sulawesi Selatan: 185 kasus

Jawa Tengah: 171 kasus

Aceh: 153 kasus

Kalimantan Selatan: 141 kasus

Baca Juga  Kontingen Riau Siap Berlaga di Olimpiade Madrasah Indonesia 2025 Tingkat Nasional

Riau: 128 kasus

Kalimantan Timur: 123 kasus

Sumatera Barat: 118 kasus

Papua Barat: 99 kasus

Papua: 96 kasus

Sumatera Utara: 94 kasus

Bali: 86 kasus

Lampung: 60 kasus

Banten: 55 kasus

DI Yogyakarta: 33 kasus

Maluku: 31 kasus

Sumatera Selatan: 27 kasus

Kalimantan Barat: 26 kasus

Nusa Tenggara Barat: 22 kasus

Sulawesi Tenggara: 21 kasus

Kepulauan Riau: 19 kasus

Sulawesi Utara: 16 kasus

Kalimantan Utara: 5 kasus

Maluku Utara: 5 kasus

Bengkulu: 1 kasus

Sulawesi Barat: 1 kasus. (zon/riausatu.com)

Komentar

News Feed