oleh

Update Corona 16 Oktober: RI Tambah 4.301 Kasus, Riau 278

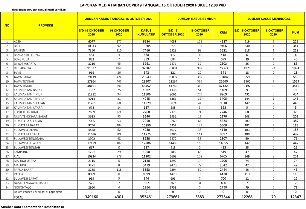
PEKANBARU – Kasus positif virus Corona (Covid-19) di Republik Indonesia hari ini, Jumat  (16/10/2020), bertambah 4.301 orang. Dengan penambahan tersebut, total kasus positif virus Corona di Indonesia hari ini menjadi 353.461 orang.

Sementara untuk Provinsi Riau, pasien positif Corona bertambah 278 orang. Dengan demikian, total pasien Covid-19 di Riau berjumlah 11.102 orang sejak pandemi Covid-19 menyerang Indonesia.

Berdasarkan situs Kementerian Kesehatan RI, hari ini dilaporkan juga ada 3.883 pasien sembuh dari Corona. Dengan penambahan itu, maka pasien sembuh dari Corona di RI total berjumlah 277.544 orang.

Baca Juga  Sidang Limbah B3 Chevron, LPPHI Hadirkan Tiga Video Bukti Pencemaran di Blok Rokan

Khusus Provinsi Riau, pasien positif Covid-19 yang sembuh hari ini berjumlah 102 orang. Dengan demikian, total pasien sembuh di Negeri Lancang Kuning itu menjadi 6.705 orang.

Di sisi lain, pasien positif Corona yang meninggal dunia di Indonesia hari ini ada 79 orang. Dengan demikian, total pasien positif Covid-19 yang meninggal menjadi 12.347 orang.

Sementara pasien Covid-19 yang meninggal karena Corona di Provinsi Riau hari ini ada 2 orang, dengan demikian total sudah mencapai 251 orang.

Baca Juga  Total Kasus Corona Riau per 30 September: 127.362 Kasus, 122.502 Sembuh, 4.064 Wafat

Berikut sebaran 4.301 kasus baru Corona di Indonesia, Jumat (16/10/2020):

DKI Jakarta: 1.045 kasus

Sumatera Barat: 484 kasus
Jawa Tengah: 443 kasus
Jawa Barat: 424 kasus
Jawa Timur: 291 kasus

Riau: 278 kasus
Aceh: 177 kasus
Papua Barat: 118 kasus
Banten: 116 kasus
Sulawesi Selatan: 107 kasus
Kalimantan Timur: 94 kasus
Bali: 92 kasus
Sumatera Utara: 89 kasus
Kepulauan Riau: 69 kasus
Kalimantan Selatan: 68 kasus
Sulawesi Utara: 62 kasus
Sumatera Selatan: 53 kasus
Sulawesi Tenggara: 48 kasus
DI Yogyakarta: 45 kasus
NTB: 33 kasus
Kalimantan Tengah: 31 kasus
Lampung: 29 kasus
Jambi: 26 kasus
Kalimantan Barat: 25 kasus
Kalimantan Utara: 14 kasus
Maluku: 8 kasus
Bengkulu: 7 kasus
NTT: 7 kasus
Maluku Utara: 5 kasus
Sulawesi Barat: 5 kasus
Bangka Belitung: 4 kasus
Gorontalo: 4 kasus. (zon/riausatu.com)

News Feed