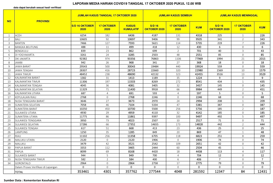
PEKANBARU – Kasus positif virus Corona (Covid-19) di Republik Indonesia hari ini, Sabtu (17/10/2020), bertambah 4.301 orang. Dengan penambahan tersebut, total kasus positif virus Corona di Indonesia hari ini menjadi 357.762 orang.
Sementara untuk Provinsi Riau, pasien positif Corona bertambah 256 orang. Dengan demikian, total pasien Covid-19 di Riau berjumlah 11.358 orang sejak pandemi Covid-19 menyerang Indonesia.
Berdasarkan situs Kementerian Kesehatan RI, hari ini dilaporkan juga ada 4.048 pasien sembuh dari Corona. Dengan penambahan itu, maka pasien sembuh dari Corona di RI total berjumlah 281.592 orang.
Khusus Provinsi Riau, pasien positif Covid-19 yang sembuh hari ini berjumlah 118 orang. Dengan demikian, total pasien sembuh di Negeri Lancang Kuning itu menjadi 6.823 orang.
Di sisi lain, pasien positif Corona yang meninggal dunia di Indonesia hari ini ada 84 orang. Dengan demikian, total pasien positif Covid-19 yang meninggal menjadi 12.431 orang.
Sementara pasien Covid-19 yang meninggal karena Corona di Provinsi Riau hari ini ada 8 orang, dengan demikian total sudah mencapai 259 orang.
Berikut sebaran 4.301 kasus baru Corona di Indonesia, Sabtu (17/10/2020):
DKI Jakarta: 974 kasus
Jawa Barat: 500 kasus
Sumatera Barat: 450 kasus
Jawa Tengah: 416 kasus
Riau: 256 kasus
Jawa Timur: 238 kasus
Kalimantan Timur: 197 kasus
Aceh: 182 kasus
Banten: 127 kasus
Papua Barat: 112 kasus
Bali: 92 kasus
Sumatera Utara: 86 kasus
Sulawesi Tenggara: 73 kasus
Kalimantan Selatan: 71 kasus
Papua: 69 kasus
Sulawesi Selatan: 66 kasus
Sulawesi Tengah: 51 kasus
Sumatera Selatan: 46 kasus
Maluku: 42 kasus
Kalimantan Tengah: 36 kasus
Lampung: 35 kasus
Kalimantan Barat: 31 kasus
Sulawesi Utara: 29 kasus
NTB: 27 kasus
Jambi: 26 kasus
DI Yogyakarta: 24 kasus
Bengkulu: 23 kasus
Bangka Belitung: 11 kasus
Sulawesi Barat: 5 kasus
Kalimantan Utara: 4 kasus
NTT: 2 kasus. (zon/riausatu.com)








