oleh

Berikut Sebaran 6.725 Kasus Baru Corona di RI 16 Desember, Riau Peringkat ke-12

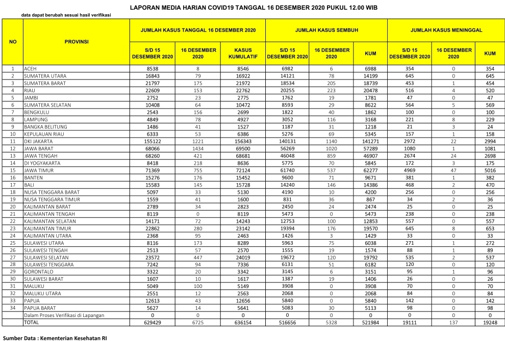
PEKANBARU – Kasus positif virus Corona (Covid-19) di Republik Indonesia (RI), Rabu (16/12/2020), bertambah 6.725 orang. Dengan penambahan tersebut, total kasus positif virus Corona di Indonesia menjadi 636.154 orang.

Sementara untuk Provinsi Riau, pasien positif Corona bertambah 153 orang. Dengan demikian, total pasien Covid-19 di Riau berjumlah 22.762 orang sejak pandemi Covid-19 menyerang Indonesia.

Berdasarkan situs Kementerian Kesehatan RI, hari ini dilaporkan juga ada 5.328 pasien sembuh dari Corona. Dengan penambahan itu, maka pasien sembuh dari Corona di Indonesia  menjadi 521.984 orang.

Baca Juga  Duh Naik Lagi! 298 Kasus Baru Corona Riau 5 Oktober, Meninggal 8

Khusus Provinsi Riau, pasien positif Covid-19 yang sembuh hari ini berjumlah 223 orang. Dengan demikian, total pasien sembuh di Negeri Lancang Kuning itu menjadi 20.478 orang.

Di sisi lain, pasien positif Corona yang meninggal dunia di Indonesia hari ini ada 137 orang. Dengan demikian, total pasien positif Covid-19 yang meninggal menjadi 19.248 orang.

Sementara pasien Covid-19 yang meninggal karena Corona di Provinsi Riau hari ini ada 4 orang, dengan demikian total sudah mencapai 520 orang.

Baca Juga  Mangkir RDP Pembangunan Ilegal, Kepala Satpol PP Lecehkan DPRD Pekanbaru

Berikut sebaran 6.725 kasus baru Corona di Indonesia, Rabu  (16/12/2020):

Jawa Barat: 1.434 kasus

DKI Jakarta: 1.221 kasus
Jawa Timur: 755 kasus
Sulawesi Selatan: 447 kasus
Jawa Tengah: 421 kasus
Kalimantan Timur: 280 kasus
DI Yogyakarta: 218 kasus
Banten: 176 kasus
Sumatera Barat: 175 kasus
Sulawesi Utara: 173 kasus
Bengkulu: 156 kasus
Riau: 153 kasus
Bali: 145 kasus
Maluku: 100 kasus
Kalimantan Utara: 95 kasus
Sulawesi Tenggara: 94 kasus
Sumatera Utara: 79 kasus
Lampung: 78 kasus
Kalimantan Selatan: 72 kasus
Sumatera Selatan: 64 kasus
Sulawesi Tengah: 57 kasus
Kepulauan Riau: 53 kasus
Papua: 43 kasus
Bangka Belitung: 41 kasus
Nusa Tenggara Timur: 41 kasus
Kalimantan Barat: 34 kasus
Nusa Tenggara Barat: 33 kasus
Jambi: 23 kasus
Gorontalo: 20 kasus
Papua Barat: 14 kasus
Maluku Utara: 12 kasus
Sulawesi Barat: 10 kasus
Aceh: 8 kasus. (zon/riausatu.com)

News Feed