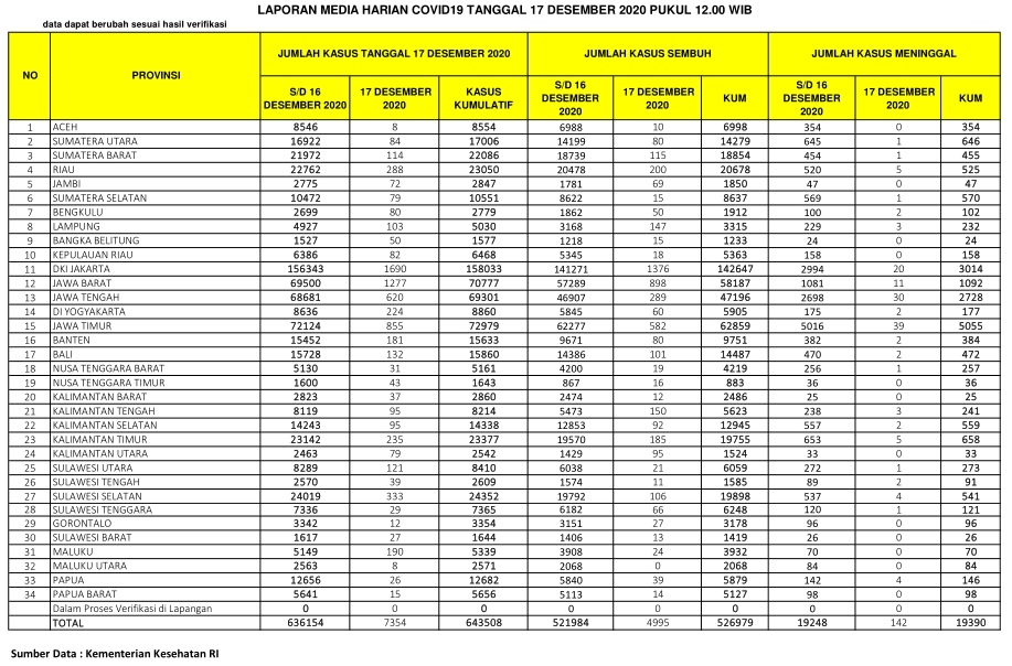
PEKANBARU – Kasus positif virus Corona (Covid-19) di Republik Indonesia (RI), Selasa (17/12/2020), bertambah 7.354 orang. Dengan penambahan tersebut, total kasus positif virus Corona di Indonesia menjadi 643.508 orang.
Sementara untuk Provinsi Riau, pasien positif Corona bertambah 288 orang. Dengan demikian, total pasien Covid-19 di Riau berjumlah 23.050 orang sejak pandemi Covid-19 menyerang Indonesia.
Berdasarkan situs Kementerian Kesehatan RI, hari ini dilaporkan juga ada 4.995 pasien sembuh dari Corona. Dengan penambahan itu, maka pasien sembuh dari Corona di Indonesia menjadi 526.979 orang.
Khusus Provinsi Riau, pasien positif Covid-19 yang sembuh hari ini berjumlah 200 orang. Dengan demikian, total pasien sembuh di Negeri Lancang Kuning itu menjadi 20.678 orang.
Di sisi lain, pasien positif Corona yang meninggal dunia di Indonesia hari ini ada 142 orang. Dengan demikian, total pasien positif Covid-19 yang meninggal menjadi 19.390 orang.
Sementara pasien Covid-19 yang meninggal karena Corona di Provinsi Riau hari ini ada 5 orang, dengan demikian total sudah mencapai 525 orang.
Berikut sebaran 7.354 kasus baru Corona di Indonesia, Kamis (17/12/2020):
1. Aceh: 8 kasus
2. Sumut: 84 kasus
3. Sumbar: 114 kasus
4. Riau: 288 kasus
5. Jambi: 72 kasus
6. Sumsel: 79 kasus
7. Bengkulu: 80 kasus
8. Lampung: 103 kasus
9. Babel: 50 kasus
10. Kepri: 82 kasus
11. Jakarta: 1.690 kasus
12. Jabar: 1.277 kasus
13. Jateng: 620 kasus
14. DIY: 224 kasus
15. Jatim: 855 kasus
16. Banten: 181 kasus
17. Bali: 132 kasus
18. NTB: 31 kasus
19. NTT: 43 kasus
20. Kalbar: 37 kasus
21. Kalteng: 95 kasus
22. Kalsel: 95 kasus
23. Kaltim: 235 kasus
24. Kaltara: 79 kasus
25. Sulut: 121 kasus
26. Sulteng: 39 kasus
27. Sulsel: 333 kasus
28. Sultra: 29 kasus
29. Gorontalo: 12 kasus
30. Sulbar: 27 kasus
31. Maluku: 190 kasus
32. Maluku Utara: 8 kasus
33. Papua: 26 kasus
34. Papua Barat: 15 kasus. (zon/riausatu.com)








