oleh

Naik Drastis Kasus Baru Corona di Riau 17 November, 82 Sembuh

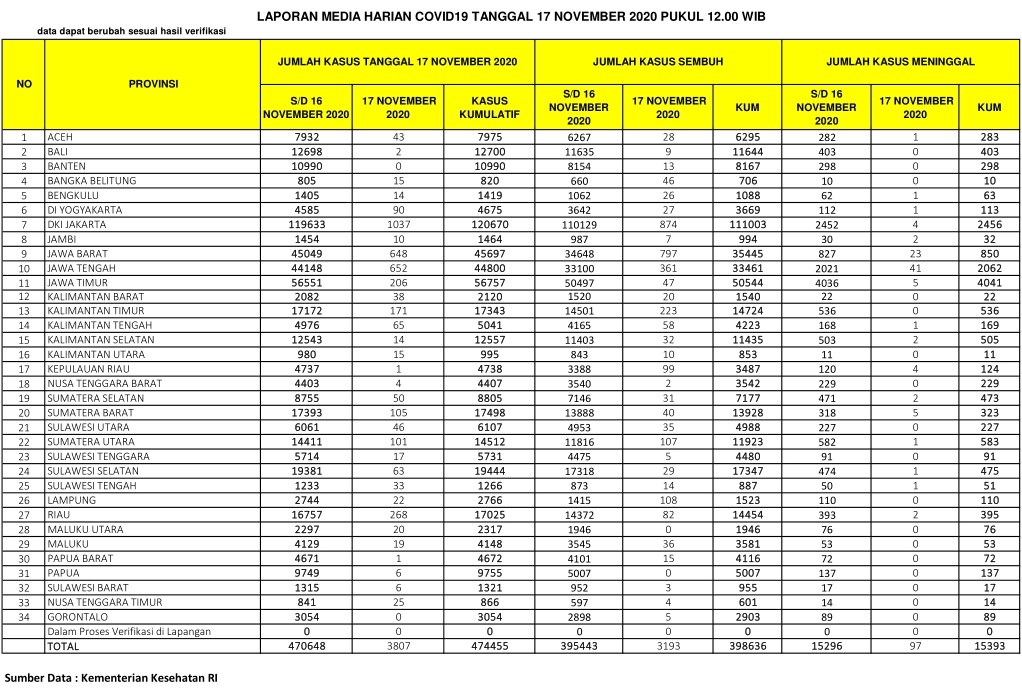
PEKANBARU – Kasus positif virus Corona (Covid-19) di  Indonesia, Selasa (17/11/2020), bertambah 3.807 orang. Dengan penambahan tersebut, total kasus positif virus Corona di Indonesia menjadi 474.455 orang.

Sementara untuk Provinsi Riau, pasien positif Corona bertambah 268 orang. Dengan demikian, total pasien Covid-19 di Riau berjumlah 17.025 orang sejak pandemi Covid-19 menyerang Indonesia.

Khusus Riau, penambahan ini bisa dikatakan naik drastis setelah beberapa waktu belakangan ini penambahan kasus baru Corona berkisar 100-an, dan Senin (16/11/2020) kemarin, berjumlah 148 orang.

Baca Juga  Riau Kembali di Atas 100, Ini Sebaran 5.990 Kasus Corona RI 9 September

Berdasarkan situs Kementerian Kesehatan RI, hari ini dilaporkan juga ada 3.193 pasien sembuh dari Corona. Dengan penambahan itu, maka pasien sembuh dari Corona di Indonesia  menjadi 398.636 orang.

Khusus Provinsi Riau, pasien positif Covid-19 yang sembuh hari ini berjumlah 82 orang. Dengan demikian, total pasien sembuh di Negeri Lancang Kuning itu menjadi 14.454 orang.

Di sisi lain, pasien positif Corona yang meninggal dunia di Indonesia hari ini ada 97 orang. Dengan demikian, total pasien positif Covid-19 yang meninggal menjadi 15.393 orang.

Baca Juga  Bio Farma Menunggu Instruksi Distribusi Vaksin COVID-19 Astrazeneca Dari Kemenkes

Sementara pasien Covid-19 yang meninggal karena Corona di Provinsi Riau hari ini ada 2 orang, dengan demikian total sudah mencapai 395 orang.

Berikut sebaran 3.807 kasus baru Corona di Indonesia, Selasa  (17/11/2020):

DKI Jakarta: 1.037 kasus

Jawa Tengah: 652 kasus
Jawa Barat: 648 kasus
Riau: 268 kasus
Jawa Timur: 206 kasus
Kalimantan Timur: 171 kasus
Sumatera Barat: 105 kasus
Sumatera Utara: 101 kasus
DI Yogyakarta: 90 kasus
Kalimantan Tengah: 65 kasus
Sulawesi Selatan: 63 kasus
Sumatera Selatan: 50 kasus
Sulawesi Utara: 46 kasus
Aceh: 43 kasus
Kalimantan Barat: 38 kasus
Sulawesi Tengah: 33 kasus
Nusa Tenggara Timur: 25 kasus
Lampung: 22 kasus
Maluku Utara: 20 kasus
Maluku: 19 kasus
Sulawesi Tenggara: 17 kasus
Bangka Belitung: 15 kasus
Kalimantan Utara: 15 kasus
Bengkulu: 14 kasus
Kalimantan Selatan: 14 kasus
Jambi: 10 kasus
Papua: 6 kasus
Sulawesi Barat: 6 kasus
Nusa Tenggara Barat: 4 kasus
Bali: 2 kasus
Kepulauan Riau: 1 kasus
Papua Barat: 1 kasus. (zon/riausatu.com)

News Feed