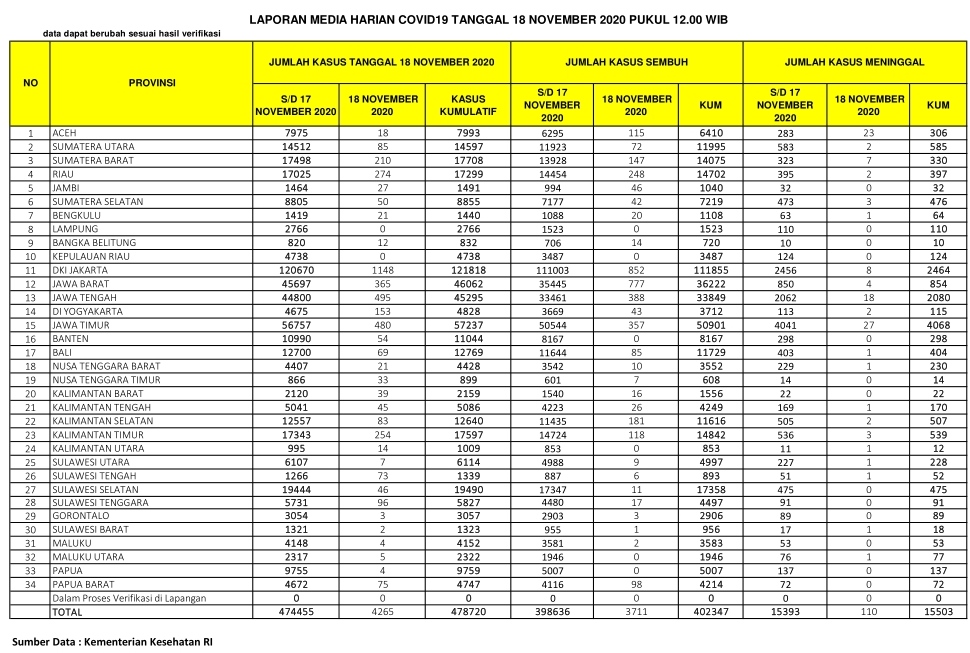
PEKANBARU – Kasus positif virus Corona (Covid-19) di Indonesia, Rabu (18/11/2020), bertambah 4.265 orang. Dengan penambahan tersebut, total kasus positif virus Corona di Indonesia menjadi 478.720 orang.
Sementara untuk Provinsi Riau, pasien positif Corona bertambah 274 orang. Dengan demikian, total pasien Covid-19 di Riau berjumlah 17.299 orang sejak pandemi Covid-19 menyerang Indonesia.
Khusus Riau, penambahan ini bisa dikatakan naik drastis setelah beberapa waktu belakangan ini penambahan kasus baru Corona berkisar 100-an, dan Senin (16/11/2020) kemarin, berjumlah 148 orang.
Berdasarkan situs Kementerian Kesehatan RI, hari ini dilaporkan juga ada 3.711 pasien sembuh dari Corona. Dengan penambahan itu, maka pasien sembuh dari Corona di Indonesia menjadi 402.347 orang.
Khusus Provinsi Riau, pasien positif Covid-19 yang sembuh hari ini berjumlah 248 orang. Dengan demikian, total pasien sembuh di Negeri Lancang Kuning itu menjadi 14.702 orang.
Di sisi lain, pasien positif Corona yang meninggal dunia di Indonesia hari ini ada 110 orang. Dengan demikian, total pasien positif Covid-19 yang meninggal menjadi 15.503 orang.
Sementara pasien Covid-19 yang meninggal karena Corona di Provinsi Riau hari ini ada 2 orang, dengan demikian total sudah mencapai 397 orang.
Berikut sebaran 4.265 kasus baru Corona di Indonesia, Rabu (18/11/2020):
DKI Jakarta: 1.148 kasus
Jawa Tengah: 495 kasus
Jawa Timur: 480 kasus
Jawa Barat: 365 kasus
Riau: 274 kasus
Kalimantan Timur: 254 kasus
Sumatera Barat: 210 kasus
DI Yogyakarta: 153 kasus
Sulawesi Tenggara: 96 kasus
Sumatera Utara: 85 kasus
Kalimantan Selatan: 83 kasus
Papua Barat: 75 kasus
Sulawesi Tengah: 73 kasus
Bali: 69 kasus
Banten: 54 kasus
Sumatera Selatan: 50 kasus
Sulawesi Selatan: 46 kasus
Kalimantan Tengah: 45 kasus
Kalimantan Barat: 39 kasus
Nusa Tenggara Timur: 33 kasus
Jambi: 27 kasus
Bengkulu: 21 kasus
Nusa Tenggara Barat: 21 kasus
Aceh: 18 kasus
Kalimantan Utara: 14 kasus
Bangka Belitung: 12 kasus
Sulawesi Utara: 7 kasus
Maluku Utara: 5 kasus
Maluku: 4 kasus
Papua: 4 kasus
Gorontalo: 3 kasus
Sulawesi Barat: 2 kasus. (zon/riausatu.com)








