oleh

Berikut Sebaran 9.086 Kasus Baru Corona RI 18 Januari: Riau Tambah 88, 140 Sembuh

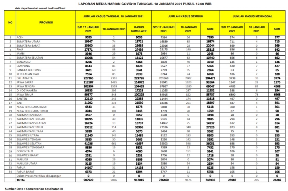
PEKANBARU – Kasus positif virus Corona (Covid-19) di Republik Indonesia (RI), Senin   (18/1/2021), bertambah 9.086 orang. Dengan penambahan tersebut, total kasus positif virus Corona di Indonesia menjadi 917.015 kasus.

Sementara untuk Provinsi Riau, pasien positif Corona bertambah 88 orang. Dengan demikian, total pasien Covid-19 di Riau berjumlah 27.459 pandemi Covid-19 menyerang Indonesia.

Berdasarkan situs Kementerian Kesehatan RI, hari ini dilaporkan juga ada 9.475 pasien sembuh dari Corona. Dengan penambahan itu, maka pasien sembuh dari Corona di Indonesia menjadi 745.935 orang.

Baca Juga  Kasus Baru Corona Riau 26 Oktober Tambah 20, Sembuh 22

Khusus Provinsi Riau, pasien positif Covid-19 yang sembuh hari ini berjumlah 140 orang. Dengan demikian, total pasien sembuh di Negeri Lancang Kuning itu menjadi 25.315 orang.

Di sisi lain, pasien positif Corona yang meninggal dunia di Indonesia hari ini ada 295 orang. Dengan demikian, total pasien positif Covid-19 yang meninggal menjadi 26.282 orang.

Sementara pasien Covid-19 yang meninggal karena Corona di Provinsi Riau hari ini ada 6 orang, dengan demikian total sudah mencapai 642 orang.

Baca Juga  Gawat! Diprediksi Sumatera Barat Bakal Terjadi Tsunami Covid-19, Manakala..

Berikut sebaran 9.086 kasus baru Corona di Indonesia, Senin (18/1/2021):

DKI Jakarta: 2.361 kasus

Jawa Tengah: 1.559 kasus

Jawa Barat: 1.485 kasus

Jawa Timur: 848 kasus

Sulawesi Selatan: 661 kasus

Kalimantan Timur: 354 kasus

DI Yogyakarta: 295 kasus

Banten: 245 kasus

Bali: 238 kasus

Sulawesi Utara: 145 kasus

Nusa Tenggara Timur: 101 kasus

Riau: 88 kasus

Lampung: 85 kasus

Baca Juga  Bikin Merinding, Wabah Corona di Pekanbaru Makin Subur Aja

Kepulauan Riau: 85 kasus

Sumatera Utara: 74 kasus

Bangka Belitung: 60 kasus

Sumatera Selatan: 54 kasus

Kalimantan Tengah: 40 kasus

Kalimantan Utara: 40 kasus

Sumatera Barat: 35 kasus

Nusa Tenggara Barat: 35 kasus

Papua: 31 kasus

Sulawesi Tengah: 30 kasus

Jambi: 29 kasus

Maluku: 29 kasus

Papua Barat: 21 kasus

Maluku Utara: 19 kasus

Sulawesi Tenggara: 16 kasus

Kalimantan Selatan: 13 kasus

Gorontalo: 6 kasus

Aceh: 2 kasus

Bengkulu: 2 kasus. (zon/riausatu.com)

News Feed