oleh

Di Atas 100 Kasus Baru Corona Riau 18 Februari, 60 Sembuh, 2 Meninggal

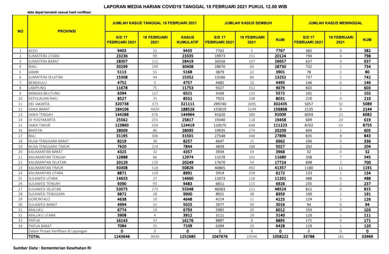
PEKANBARU – Kasus positif virus Corona (Covid-19) di Republik Indonesia (RI), Kamis  (18/2/2021), bertambah 9.039 orang. Dengan penambahan tersebut, total kasus positif virus Corona di Indonesia menjadi
1.252.685 kasus.

Sementara untuk Provinsi Riau, pasien positif Corona bertambah 109 orang. Dengan demikian, total pasien Covid-19 di Riau berjumlah 30.408 pandemi Covid-19 menyerang Indonesia.

Berdasarkan situs Kementerian Kesehatan RI, hari ini dilaporkan juga ada 10.546 pasien sembuh dari Corona. Dengan penambahan itu, maka pasien sembuh dari Corona di Indonesia menjadi 1.058.222 orang.

Baca Juga  Bersama 5 Provinsi Lain, Hari Ini Kasus Baru Corona Riau Tambah 1, Ini Datanya

Khusus Provinsi Riau, pasien positif Covid-19 yang sembuh hari ini berjumlah 60 orang. Dengan demikian, total pasien sembuh di Negeri Lancang Kuning itu menjadi 28.730 orang.

Di sisi lain, pasien positif Corona yang meninggal dunia di Indonesia hari ini ada 181 orang. Dengan demikian, total pasien positif Covid-19 yang meninggal menjadi 33.969 orang.

Sementara pasien Covid-19 yang meninggal karena Corona di Provinsi Riau hari ini ada 2 orang, dengan demikian total sudah mencapai 734 orang.

Baca Juga  So Sad! Per 10 Desember, Sudah 500 Meninggal karena Corona di Riau

Berikut sebaran 9.039 kasus baru Corona di Indonesia, Kamis (18/2/2021):

Jawa Barat: 4.420 kasus

Jawa Tengah: 676 kasus

Jawa Timur: 559 kasus

Kalimantan Timur: 518 kasus

DKI Jakarta: 373 kasus

Bali: 306 kasus

Sulawesi Selatan: 273 kasus

DI Yogyakarta: 255 kasus

Nusa Tenggara Timur: 224 kasus

Bangka Belitung: 127 kasus

Kalimantan Selatan: 120 kasus

Kalimantan Utara: 120 kasus

Sumatera Barat: 112 kasus

Riau: 109 kasus

Baca Juga  Update Corona Riau 24 November: Tambah 29 Kasus Baru, Sembuh 1

Sumatera Utara: 99 kasus

Sulawesi Tengah: 93 kasus

Banten: 86 kasus

Kalimantan Tengah: 86 kasus

Lampung: 75 kasus

Jambi: 55 kasus

Sumatera Selatan: 44 kasus

Nusa Tenggara Barat: 38 kasus

Papua: 33 kasus

Aceh: 32 kasus

Kalimantan Barat: 32 kasus

Sulawesi Barat: 31 kasus

Sulawesi Tenggara: 28 kasus

Sulawesi Utara: 27 kasus

Kepulauan Riau: 25 kasus

Papua Barat: 25 kasus

Maluku: 19 kasus

Gorontalo: 10 kasus

Bengkulu: 5 kasus

Maluku Utara: 4 kasus. (zon/riausatu.com)

News Feed