oleh

Naik Drastis! Kasus Baru Corona Riau 19 Desember: 183 Sembuh, 4 Meninggal

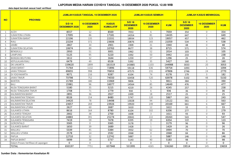
PEKANBARU – Kasus positif virus Corona (Covid-19) di Republik Indonesia (RI), Sabtu (19/12/2020), bertambah 7.751 orang. Dengan penambahan tersebut, total kasus positif virus Corona di Indonesia menjadi 657.948 orang.

Sementara untuk Provinsi Riau, pasien positif Corona bertambah 372 orang. Dengan demikian, total pasien Covid-19 di Riau berjumlah 23.606 orang sejak pandemi Covid-19 menyerang Indonesia.

Berdasarkan situs Kementerian Kesehatan RI, hari ini dilaporkan juga ada 4.265 pasien sembuh dari Corona. Dengan penambahan itu, maka pasien sembuh dari Corona di Indonesia menjadi 536.260 orang.

Baca Juga  Tambah 253, Kasus Corona di Riau per 28 Oktober Tembus 14.251

Khusus Provinsi Riau, pasien positif Covid-19 yang sembuh hari ini berjumlah 183 orang. Dengan demikian, total pasien sembuh di Negeri Lancang Kuning itu menjadi 21.059 orang.

Di sisi lain, pasien positif Corona yang meninggal dunia di Indonesia hari ini ada 145 orang. Dengan demikian, total pasien positif Covid-19 yang meninggal menjadi 19.659 orang.

Sementara pasien Covid-19 yang meninggal karena Corona di Provinsi Riau hari ini ada 4 orang, dengan demikian total sudah mencapai 538 orang.

Baca Juga  Bulukumba Diguncang Gempa Magnitudo 4,3

Berikut sebaran 7.751 kasus baru Corona di Indonesia, Sabtu (19/12/2020):

1. Aceh: 12 kasus.
2. Sumut: 86 kasus.
3. Sumbar: 135 kasus.
4. Riau: 372 kasus.
5. Jambi: 34 kasus.
6. Sumsel: 89 kasus.
7. Bengkulu: 51 kasus.
8. Lampung: 95 kasus.
9. Babel: 32 kasus.
10. Kepri: 49 kasus.
11. DKI Jakarta: 1.899 kasus.
12. Jabar: 1.132 kasus.
13. Jateng: 998 kasus.
14. DIY: 216 kasus.
15. Jatim: 752 kasus.
16. Banten: 180 kasus.
17. Bali: 96 kasus.
18. NTB: 35 kasus.
19. NTT: 71 kasus.
20. Kalbar: 36 kasus.
21. Kalteng: 154 kasus.
22. Kalsel: 78 kasus.
23. Kaltim: 269 kasus.
24. Kaltara: 60 kasus.
25. Sulut: 164 kasus.
26. Sulteng: 38 kasus.
27. Sulsel: 391 kasus.
28. Sultra: 59 kasus.
29. Gorontalo: 0 kasus.
30. Sulbar: 39 kasus.
31. Maluku: 45 kasus.
32. Maluku Utara: 14 kasus.
33. Papua: 32 kasus.
34. Papua Barat: 38 kasus.(zon/riausatu.com)

News Feed