oleh

Berikut Sebaran 6.982 Kasus Baru Corona RI 20 Desember, Riau Tambah 121

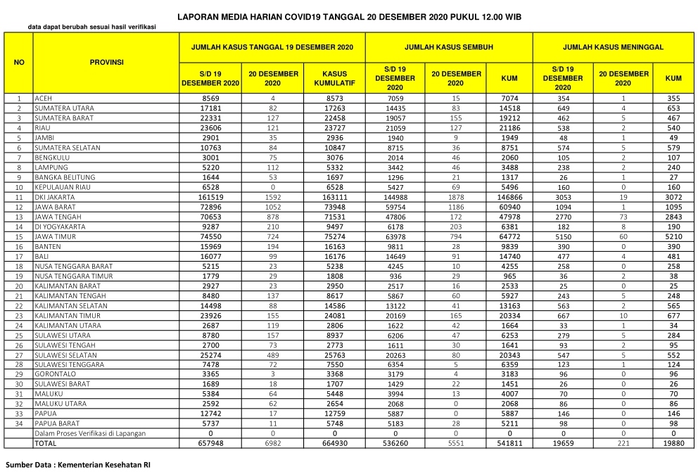
PEKANBARU – Kasus positif virus Corona (Covid-19) di Republik Indonesia (RI), Ahad   (20/12/2020), bertambah 6.982 orang. Dengan penambahan tersebut, total kasus positif virus Corona di Indonesia menjadi 664.930 orang.

Sementara untuk Provinsi Riau, pasien positif Corona bertambah 121 orang. Dengan demikian, total pasien Covid-19 di Riau berjumlah 23.727 orang sejak pandemi Covid-19 menyerang Indonesia.

Berdasarkan situs Kementerian Kesehatan RI, hari ini dilaporkan juga ada 5.551 pasien sembuh dari Corona. Dengan penambahan itu, maka pasien sembuh dari Corona di Indonesia  menjadi 541.811 orang.

Baca Juga  Riau Tambah 49, Berikut Sebaran 6.208 Kasus Positif Corona di RI 27 Februari

Khusus Provinsi Riau, pasien positif Covid-19 yang sembuh hari ini berjumlah 127 orang. Dengan demikian, total pasien sembuh di Negeri Lancang Kuning itu menjadi 21.186 orang.

Di sisi lain, pasien positif Corona yang meninggal dunia di Indonesia hari ini ada 221 orang. Dengan demikian, total pasien positif Covid-19 yang meninggal menjadi 19.880 orang.

Sementara pasien Covid-19 yang meninggal karena Corona di Provinsi Riau hari ini ada 2 orang, dengan demikian total sudah mencapai 540 orang.

Baca Juga  Kenaikan Tarif Dasar Listrik Dipastikan Membuat Industri Fastener Terpuruk

Berikut sebaran 6.982 kasus baru Corona di Indonesia, Ahad  (20/12/2020):

1. Aceh: 4 kasus

2. Sumut: 82 kasus

3. Sumbar: 127 kasus

4. Riau: 121 kasus

5. Jambi: 35 kasus

6. Sumsel: 85 kasus

7. Bengkulu: 75 kasus

8. Lampung: 112 kasus

9. Babel: 53 kasus

10. Kepri: 0 kasus

11. DKI Jakarta: 1.592 kasus

12. Jabar: 1.052 kasus

13. Jateng: 878 kasus

14. DIY: 210 kasus

Baca Juga  Dengar Pengaduan Ratusan Petani Sawit Kopsa M, Erick Thohir: Siapa Oknumnya?

15. Jatim: 724 kasus

16. Banten: 194 kasus

17. Bali: 99 kasus

18. NTB: 23 kasus

19. NTT: 29 kasus

20. Kalbar: 23 kasus

21. Kalteng: 137 kasus

22. Kalsel: 88 kasus

23. Kaltim: 155 kasus

24. Kaltara: 119 kasus

25. Sulut: 157 kasus

26. Sulteng: 73 kasus

27. Sulsel: 489 kasus

28. Sultra: 72 kasus

29. Gorontalo: 3 kasus

30. Sulbar: 18 kasus

31. Maluku: 64 kasus

32. Maluku Utara: 62 kasus.

33. Papua: 17 kasus.

34. Papua Barat: 11 kasus. (zon/riausatu.com)

News Feed