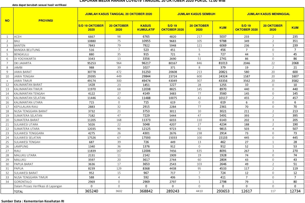
PEKANBARU – Kasus positif virus Corona (Covid-19) di Indonesia hari ini, Selasa (20/10/2020), bertambah 3.602 orang. Dengan penambahan tersebut, total kasus positif virus Corona di Indonesia menjadi 368.842 orang.
Sementara untuk Provinsi Riau, pasien positif Corona bertambah 167 orang. Dengan demikian, total pasien Covid-19 di Riau berjumlah 12.006 orang sejak pandemi Covid-19 menyerang Indonesia.
Berdasarkan situs Kementerian Kesehatan RI, hari ini dilaporkan juga ada 4.410 pasien sembuh dari Corona. Dengan penambahan itu, maka pasien sembuh dari Corona di RI total berjumlah 293.653 orang.
Khusus Provinsi Riau, pasien positif Covid-19 yang sembuh hari ini berjumlah 635 orang. Dengan demikian, total pasien sembuh di Negeri Lancang Kuning itu menjadi 8.091 orang.
Di sisi lain, pasien positif Corona yang meninggal dunia di Indonesia hari ini ada 117 orang. Dengan demikian, total pasien positif Covid-19 yang meninggal menjadi 12.734 orang.
Sementara pasien Covid-19 yang meninggal karena Corona di Provinsi Riau hari ini ada 3 orang, dengan demikian total sudah mencapai 270 orang.
Berikut sebaran 3.602 kasus baru Corona di Indonesia, Selasa (20/10/2020):
Aceh: 98
Bali: 75
Banten: 79
Bangka Belitung: 7
Bengkulu: 35
DI Yogyakarta: 13
DKI Jakarta: 964
Jambi: 39
Jawa Barat: 472
Jawa Tengah: 449
Jawa Timur: 300
Kalimantan Barat: 23
Kalimantan Timur: 68
Kalimantan Tengah: 27
Kalimantan Selatan: 42
Kepulauan Riau: 32
Nusa Tenggara Barat: 21
Sumatera Selatan: 47
Sumatera Barat: 168
Sulawesi Utara: 22
Sumatera Utara: 90
Sulawesi Tenggara: 26
Sulawesi Selatan: 67
Sulawesi Tengah:39
Lampung: 36
Riau: 167
Maluku Utara: 11
Maluku: 20
Papua Barat: 17
Papua: 129
Sulawesi Barat: 15
Nusa Tenggara Timur: 4. (zon/riausatu.com)








