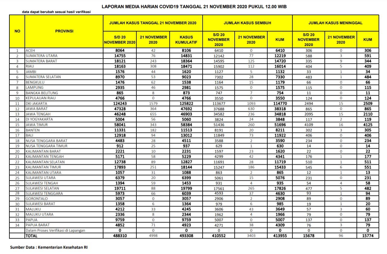
PEKANBARU – Kasus positif virus Corona (Covid-19) di Indonesia, Sabtu (21/11/2020), bertambah 4.998 orang. Dengan penambahan tersebut, total kasus positif virus Corona di Indonesia menjadi 493.308 orang.
Sementara untuk Provinsi Riau, pasien positif Corona bertambah 308 orang. Dengan demikian, total pasien Covid-19 di Riau berjumlah 18.471 orang sejak pandemi Covid-19 menyerang Indonesia.
Berdasarkan situs Kementerian Kesehatan RI, hari ini dilaporkan juga ada 3.403 pasien sembuh dari Corona. Dengan penambahan itu, maka pasien sembuh dari Corona di Indonesia menjadi 413.955 orang.
Khusus Provinsi Riau, pasien positif Covid-19 yang sembuh hari ini berjumlah 112 orang. Dengan demikian, total pasien sembuh di Negeri Lancang Kuning itu menjadi 16.014 orang.
Di sisi lain, pasien positif Corona yang meninggal dunia di Indonesia hari ini ada 96 orang. Dengan demikian, total pasien positif Covid-19 yang meninggal menjadi 15.774 orang.
Sementara pasien Covid-19 yang meninggal karena Corona di Provinsi Riau hari ini ada 5 orang, dengan demikian total sudah mencapai 409 orang.
Berikut sebaran 4.998 kasus baru Corona di Indonesia, Sabtu (21/11/2020):
DKI Jakarta: 1.579 kasus
Jawa Tengah: 655 kasus
Jawa Barat: 364
Jawa Timur: 343
Riau: 308 kasus
Kalimantan Timur: 251 kasus
Sumatera Barat: 243 kasus
Banten: 182 kasus
Bali: 94 kasus
Kalimantan Selatan 89 kasus
Sulawesi Selatan: 88 kasus
Sumatera Utara: 76 kasus
Papua Barat: 71 kasus
Sulawesi Tenggara: 66 kasus
Bengkulu: 62 kasus
Sulawesi Tengah: 59 kasus
Kalimantan Tengah: 58 kasus
DI Yogyakarta: 56 kasus
Sumatera Selatan: 53 kasus
Lampung: 46 kasus
Jambi: 44 kasus
Aceh: 42 kasus
Maluku: 33 kasus
Kalimantan Utara: 31 kasus
Nusa Tenggara Barat: 28 kasus
Nusa Tenggara Timur: 25 kasus
Sulawesi Utara: 20 kasus
Kalimantan Barat: 10 kasus
Bangka Belitung: 8 kasus
Maluku Utara: 8 kasus
Sulawesi Barat: 6 kasus.
(zon/riausatu.com)








