oleh

Update Corona di Riau Sampai 22 November: 18.642 Positif, 16.191 Sembuh

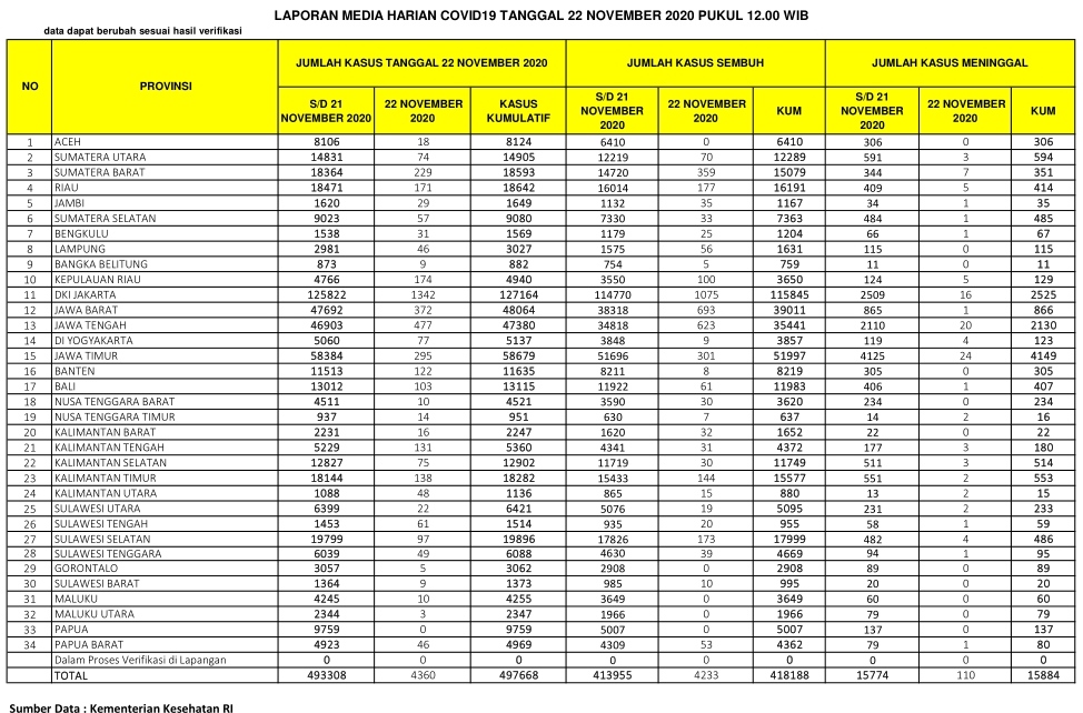
PEKANBARU – Kasus positif virus Corona (Covid-19) di  Indonesia, Ahad (22/11/2020), bertambah 4.360 orang. Dengan penambahan tersebut, total kasus positif virus Corona di Indonesia menjadi 497.668  orang.

Sementara untuk Provinsi Riau, pasien positif Corona bertambah 171 orang. Dengan demikian, total pasien Covid-19 di Riau berjumlah 18.642 orang sejak pandemi Covid-19 menyerang Indonesia.

Berdasarkan situs Kementerian Kesehatan RI, hari ini dilaporkan juga ada 4.233 pasien sembuh dari Corona. Dengan penambahan itu, maka pasien sembuh dari Corona di Indonesia  menjadi 418.188 orang.

Khusus Provinsi Riau, pasien positif Covid-19 yang sembuh hari ini berjumlah 177 orang. Dengan demikian, total pasien sembuh di Negeri Lancang Kuning itu menjadi 16.191 orang.

Baca Juga  Pemprov Serahkan Lahan Cik Puan ke Pemko

Di sisi lain, pasien positif Corona yang meninggal dunia di Indonesia hari ini ada 110 orang. Dengan demikian, total pasien positif Covid-19 yang meninggal menjadi 15.884 orang.

Sementara pasien Covid-19 yang meninggal karena Corona di Provinsi Riau hari ini ada 5 orang, dengan demikian total sudah mencapai 414 orang. (zon/riausatu.com)

News Feed