oleh

Berikut Sebaran 6.848 Kasus Baru Corona di RI, Riau Peringkat ke-17

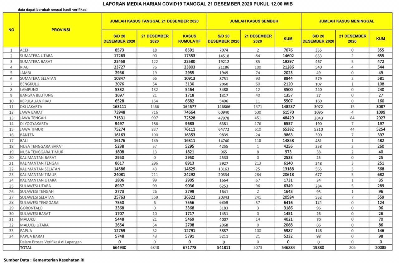
PEKANBARU – Kasus positif virus Corona (Covid-19) di Republik Indonesia (RI), Senin   (21/12/2020), bertambah 6.848 orang. Dengan penambahan tersebut, total kasus positif virus Corona di Indonesia menjadi 671.778 orang.

Sementara untuk Provinsi Riau, pasien positif Corona bertambah 76 orang. Dengan demikian, total pasien Covid-19 di Riau berjumlah 23.803 orang sejak pandemi Covid-19 menyerang Indonesia.

Berdasarkan situs Kementerian Kesehatan RI, hari ini dilaporkan juga ada 5.073 pasien sembuh dari Corona. Dengan penambahan itu, maka pasien sembuh dari Corona di Indonesia  menjadi 546.884 orang.

Baca Juga  Riau Tambah 57, Berikut Sebaran 2.137 Kasus Baru Corona di RI 25 September

Khusus Provinsi Riau, pasien positif Covid-19 yang sembuh hari ini berjumlah 100 orang. Dengan demikian, total pasien sembuh di Negeri Lancang Kuning itu menjadi 21.286 orang.

Di sisi lain, pasien positif Corona yang meninggal dunia di Indonesia hari ini ada 205 orang. Dengan demikian, total pasien positif Covid-19 yang meninggal menjadi 20.085 orang.

Sementara pasien Covid-19 yang meninggal karena Corona di Provinsi Riau hari ini ada 4 orang, dengan demikian total sudah mencapai 544 orang.

Baca Juga  Satpol PP Bersama Perangkat di Kecamatan Atasi PKL

Berikut sebaran 6.848 kasus baru Corona di Indonesia, Senin (21/12/2020):

DKI Jakarta: 1.466 kasus
Jawa Tengah: 997 kasus
Jawa Timur: 837 kasus
Jawa Barat: 716 kasus
Sulawesi Selatan: 559 kasus
Kalimantan Tengah: 296 kasus
Kalimantan Timur: 211 kasus
Banten: 190 kasus
DI Yogyakarta: 186 kasus
Kepulauan Riau: 154 kasus
Bali: 135 kasus
Lampung: 132 kasus
Sumatera Barat: 122 kasus
Kalimantan Utara: 99 kasus
Sulawesi Utara: 99 kasus
Sumatera Utara: 90 kasus
Riau: 76 kasus
Sumatera Selatan: 66 kasus
Nusa Tenggara Barat: 57 kasus
Bengkulu: 54 kasus
Maluku Utara: 54 kasus
Kalimantan Selatan: 43 kasus
Papua Barat: 43 kasus
Papua: 32 kasus
Sulawesi Tengah: 26 kasus
Bangka Belitung: 21 kasus
Maluku: 21 kasus
Jambi: 19 kasus
Aceh: 18 kasus
Nusa Tenggara Timur: 13 kasus
Sulawesi Barat: 10 kasus
Sulawesi Tenggara: 6 kasus. (zon/riausatu.com)

News Feed