oleh

Ini Sebaran 6.848 Kasus Baru Corona di RI 22 Desember, Riau Tambah 116

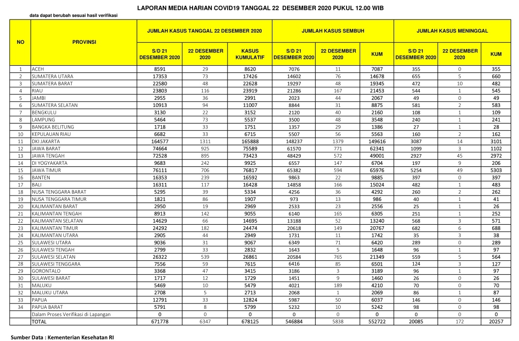
PEKANBARU – Kasus positif virus Corona (Covid-19) di Republik Indonesia (RI), Selasa (22/12/2020), bertambah 6.347 orang. Dengan penambahan tersebut, total kasus positif virus Corona di Indonesia menjadi 678.125 orang.

Sementara untuk Provinsi Riau, pasien positif Corona bertambah 116 orang. Dengan demikian, total pasien Covid-19 di Riau berjumlah 23.919 orang sejak pandemi Covid-19 menyerang Indonesia.

Berdasarkan situs Kementerian Kesehatan RI, hari ini dilaporkan juga ada 5.838 pasien sembuh dari Corona. Dengan penambahan itu, maka pasien sembuh dari Corona di Indonesia  menjadi 552.722 orang.

Baca Juga  Riau Naik Drastis! Ini Sebaran 5.656 Kasus Positif Corona di RI 20 Maret

Khusus Provinsi Riau, pasien positif Covid-19 yang sembuh hari ini berjumlah 167 orang. Dengan demikian, total pasien sembuh di Negeri Lancang Kuning itu menjadi 21.453 orang.

Di sisi lain, pasien positif Corona yang meninggal dunia di Indonesia hari ini ada 172 orang. Dengan demikian, total pasien positif Covid-19 yang meninggal menjadi 20.257 orang.

Sementara pasien Covid-19 yang meninggal karena Corona di Provinsi Riau hari ini ada 1 orang, dengan demikian total sudah mencapai 545 orang.

Baca Juga  Update Corona Riau Hari Ini: Positif 42, Meninggal 2 Orang

Berikut sebaran 6.347 kasus baru Corona di Indonesia, Selasa  (22/12/2020):

DKI Jakarta: 1.311 kasus

Jawa Barat: 925 kasus
Jawa Tengah: 895 kasus
Jawa Timur: 706 kasus
Sulawesi Selatan: 539 kasus
DI Yogyakarta: 242 kasus
Banten: 239 kasus
Kalimantan Timur: 182 kasus
Kalimantan Tengah: 142 kasus
Bali: 117 kasus
Riau: 116 kasus
Sumatera Selatan: 94 kasus
Nusa Tenggara Timur: 86 kasus
Sumatera Utara: 73 kasus
Lampung: 73 kasus
Kalimantan Selatan: 66 kasus
Sulawesi Tenggara: 59 kasus
Sumatera Barat: 48 kasus
Gorontalo: 47kasus
Kalimantan Utara: 44 kasus
Nusa Tenggara Barat: 39 kasus
Jambi: 36 kasus
Bangka Belitung: 33 kasus
Kepulauan Riau: 33 kasus
Sulawesi Tengah: 33 kasus
Papua: 33 kasus
Sulawesi Utara: 31 kasus
Aceh: 29 kasus
Bengkulu: 22 kasus
Kalimantan Barat: 12 kasus
Sulawesi Barat: 12 kasus
Maluku: 10 kasus
Papua Barat: 8 kasus
Maluku Utara: 5 kasus. (zon/riausatu.com)

News Feed