oleh

Update Corona di Riau 22 Januari: Tambah 122 Kasus Baru, 204 Sembuh, 1 Meninggal

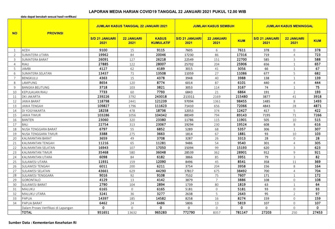
PEKANBARU – Kasus positif virus Corona (Covid-19) di Republik Indonesia (RI), Jumat   (22/1/2021), bertambah 13.632 orang. Dengan penambahan tersebut, total kasus positif virus Corona di Indonesia menjadi 965.283 kasus.

Sementara untuk Provinsi Riau, pasien positif Corona bertambah 122 orang. Dengan demikian, total pasien Covid-19 di Riau berjumlah 28.007 pandemi Covid-19 menyerang Indonesia.

Berdasarkan situs Kementerian Kesehatan RI, hari ini dilaporkan juga ada 8.357 pasien sembuh dari Corona. Dengan penambahan itu, maka pasien sembuh dari Corona di Indonesia menjadi 781.147 orang.

Baca Juga  CERI Gugat KLHK Jika Tidak Buka Hasil Audit Lingkungan Blok Rokan

Khusus Provinsi Riau, pasien positif Covid-19 yang sembuh hari ini berjumlah 204 orang. Dengan demikian, total pasien sembuh di Negeri Lancang Kuning itu menjadi 25.906 orang.

Di sisi lain, pasien positif Corona yang meninggal dunia di Indonesia hari ini ada 250 orang. Dengan demikian, total pasien positif Covid-19 yang meninggal menjadi 27.453 orang.

Sementara pasien Covid-19 yang meninggal karena Corona di Provinsi Riau hari ini ada 1 orang, dengan demikian total sudah mencapai 657 orang.

Baca Juga  Luar Biasa! Ada 521 Pasien Corona Sembuh di Riau 19 Oktober, Tambah 197

Berikut sebaran 13.632 kasus baru Corona di Indonesia, Jumat (22/1/2021):

DKI Jakarta: 3.792 kasus

Jawa Barat: 2.441 kasus

Jawa Tengah: 1.796 kasus

Jawa Timur: 1.056 kasus

Sulawesi Selatan: 629 kasus

Kalimantan Timur: 580 kasus

DI Yogyakarta: 478 kasus

Banten: 320 kasus

Bali: 313 kasus

Nusa Tenggara Timur: 275 kasus

Sulawesi Tengah: 200 kasus

Papua: 185 kasus

Sulawesi Utara: 159 kasus

Sumatera Barat: 127 kasus

Baca Juga  PT GTU Kontraktor PT RAPP Diduga Tidak Bayarkan Gaji Buruh Sebanyak Rp 580 Juta

Riau: 122 kasus

Lampung: 120 kasus

Kalimantan Selatan: 107 kasus

Sulawesi Barat: 104 kasus

Bangka Belitung: 103 kasus

Sulawesi Tenggara: 92 kasus

Sumatera Utara: 84 kasus

Kalimantan Utara: 84 kasus

Sumatera Selatan: 71 kasus

Kalimantan Tengah: 65 kasus

Jambi: 62 kasus

Kepulauan Riau: 60 kasus

Nusa Tenggara Barat: 55 kasus

Kalimantan Barat: 49 kasus

Maluku Utara: 36 kasus

Papua Barat: 24 kasus

Aceh: 15 kasus

Bengkulu: 15 kasus

Gorontalo: 13 kasus. (zon/riausatu.com)

News Feed