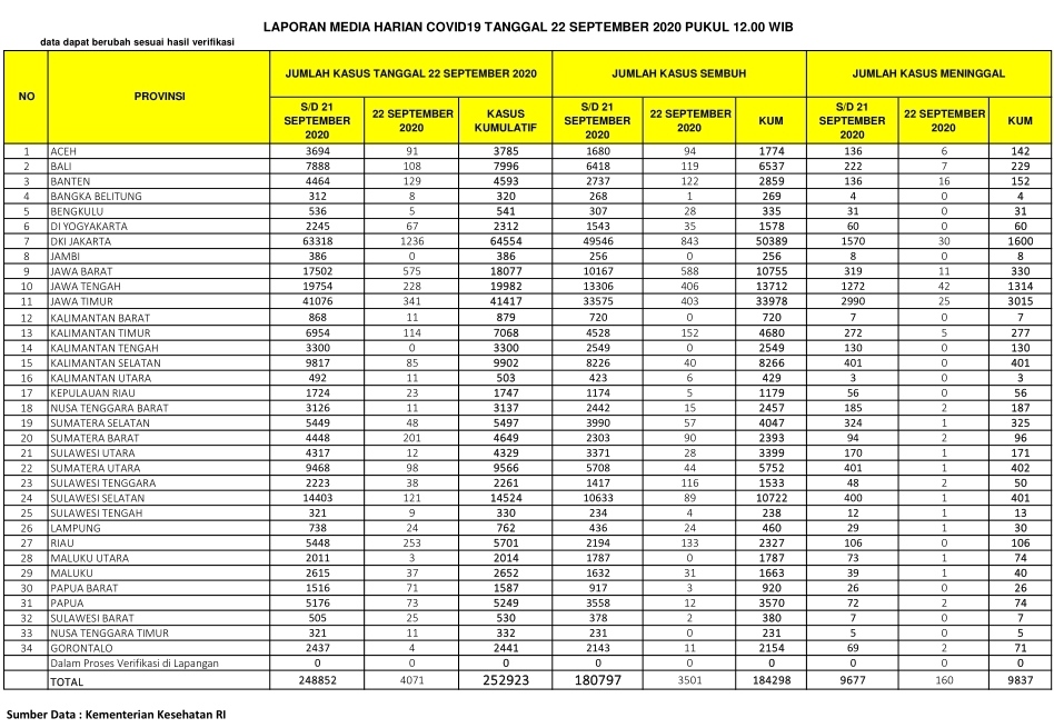
PEKANBARU – Kasus positif virus Corona (Covid-19) di Indonesia hari ini, Selasa (22/9/2020), bertambah 4.071 orang. Dengan penambahan tersebut, total kasus positif virus Corona di Indonesia hari ini menjadi 252.923 orang.
Sementara untuk Provinsi Riau, pasien positif bertambah 253 orang. Dengan demikian, pasien Covid-19 di Riau total menjadi 5.701 orang sejak pandemi Covid-19 menyerang Indonesia.
Berdasarkan situs Kementerian Kesehatan RI, dilaporkan ada 3.501 pasien sembuh dari Corona. Dengan penambahan itu, maka pasien dinyatakan sembuh dari Corona di RI total berjumlah 184.298 orang.
Di sisi lain, pasien positif Corona yang meninggal dunia, Selasa (22/9/2020), berjumlah 160 orang. Dengan demikian, total pasien positif Covid-19 yang meninggal menjadi 9.837 orang.
Khusus Provinsi Riau, pasien sembuh hari ini berjumlah 133 orang, dengan demikian total pasien sembuh menjadi 2.327 orang.
Yang menggembirakan, hari ini tidak ada pasien Covid-19 yang meninggal di Provinsi Riau. Dengan demikian, total meninggal tetap seperti kemarin yakni 106 orang.
Berikut sebaran 4.071 kasus baru Corona di Indonesia, Selasa (22/9/2020):
DKI Jakarta: 1.236 kasus
Jawa Barat: 575 kasus
Jawa Timur: 341 kasus
Riau: 253 kasus
Jawa Tengah: 228 kasus
Sumatera Barat: 201 kasus
Banten: 129 kasus
Sulawesi Selatan: 121 kasus
Kalimantan Timur: 114 kasus
Bali: 108 kasus
Sumatera Utara: 98 kasus
Aceh: 91 kasus
Kalimantan Selatan: 85 kasus
Papua: 73 kasus
Papua Barat: 71 kasus
DI Yogyakarta: 67 kasus
Sumatera Selatan: 48 kasus
Sulawesi Tenggara: 38 kasus
Maluku: 37 kasus
Sulawesi Barat: 25 kasus
Lampung: 24 kasus
Kepulauan Riau: 23 kasus
Sulawesi Utara: 12 kasus
Kalimantan Barat: 11 kasus
Kalimantan Utara: 11 kasus
Nusa Tenggara Barat: 11 kasus
Nusa Tenggara Timur: 11 kasus
Sulawesi Tengah: 9 kasus
Bangka Belitung: 8 kasus
Bengkulu: 5 kasus
Gorontalo: 4 kasus
Maluku Utara: 3 kasus. (zon/riausatu.com)








