oleh

Update Corona Riau 22 Oktober: Tambah 282, 171 Sembuh, 6 Meninggal

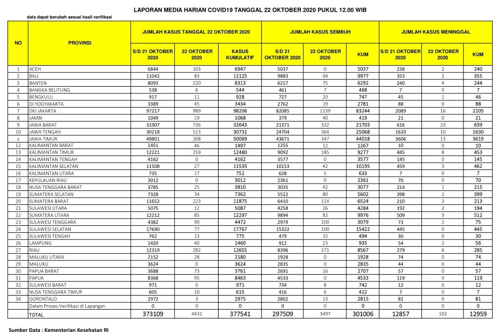
PEKANBARU – Kasus positif virus Corona (Covid-19) di Indonesia hari ini, Kamis  (22/10/2020), bertambah 4.432 orang. Dengan penambahan tersebut, total kasus positif virus Corona di Indonesia menjadi 377.541 orang.

Sementara untuk Provinsi Riau, pasien positif Corona bertambah 282 orang. Dengan demikian, total pasien Covid-19 di Riau berjumlah 12.601 orang sejak pandemi Covid-19 menyerang Indonesia.

Berdasarkan situs Kementerian Kesehatan RI, hari ini dilaporkan juga ada 3.497 pasien sembuh dari Corona. Dengan penambahan itu, maka pasien sembuh dari Corona di RI total berjumlah 301.006 orang.

Baca Juga  Riau Tambah 112, Berikut Sebaran 4.461 Kasus Baru Corona di RI pada 27 Maret

Khusus Provinsi Riau, pasien positif Covid-19 yang sembuh hari ini berjumlah 171 orang. Dengan demikian, total pasien sembuh di Negeri Lancang Kuning itu menjadi 8.567 orang.

Di sisi lain, pasien positif Corona yang meninggal dunia di Indonesia hari ini ada 102 orang. Dengan demikian, total pasien positif Covid-19 yang meninggal menjadi 12.959 orang.

Baca Juga  4 Perwira Tinggi TNI AD Sandang Pangkat Letjen, Yang Termuda Angkatan 92

Sementara pasien Covid-19 yang meninggal karena Corona di Provinsi Riau hari ini ada 6 orang, dengan demikian total sudah mencapai 285 orang.

Berikut sebaran 4.432 kasus baru Corona di Indonesia, Kamis  (22/10/2020):

DKI Jakarta: 989 kasus

Jawa Barat: 736 kasus

Jawa Tengah: 513 kasus

Riau: 282 kasus

Jawa Timur: 268 kasus

Kalimantan Timur: 259 kasus

Baca Juga  Kunjungi Kamp Pengungsi Letusan Gunung Api Ruang, Deputi IV BNPB Sambangi Posko Induk

Sumatera Barat: 223 kasus

Banten: 220 kasus

Aceh: 103 kasus

Papua: 95 kasus

Sulawesi Tenggara: 90 kasus

Sumatera Utara: 85 kasus

Bali: 83 kasus

Sulawesi Selatan: 77 kasus

Papua Barat: 73 kasus

Kalimantan Barat: 46 kasus

Nusa Tenggara Barat: 25 kasus

Jambi: 19 kasus

Kalimantan Utara: 17 kasus

Sulawesi Tengah: 13 kasus

Sulawesi Utara: 12 kasus

Bengkulu: 11 kasus

Nusa Tenggara Timur: 10 kasus

Bangka Belitung: 6 kasus

Gorontalo: 3 kasus. (zon/riausatu.com)

News Feed