oleh

Data Corona Riau 23 Oktober: Tambah 276, 252 Sembuh, 6 Meninggal

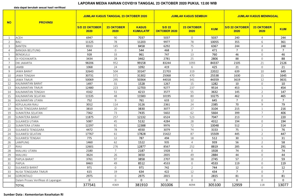
PEKANBARU – Kasus positif virus Corona (Covid-19) di Indonesia hari ini, Jumat  (23/10/2020), bertambah 4.369 orang. Dengan penambahan tersebut, total kasus positif virus Corona di Indonesia menjadi 381.910 orang.

Sementara untuk Provinsi Riau, pasien positif Corona bertambah 276 orang. Dengan demikian, total pasien Covid-19 di Riau berjumlah 12.877 orang sejak pandemi Covid-19 menyerang Indonesia.

Berdasarkan situs Kementerian Kesehatan RI, hari ini dilaporkan juga ada 4.094 pasien sembuh dari Corona. Dengan penambahan itu, maka pasien sembuh dari Corona di RI total berjumlah 305.100 orang.

Khusus Provinsi Riau, pasien positif Covid-19 yang sembuh hari ini berjumlah 252 orang. Dengan demikian, total pasien sembuh di Negeri Lancang Kuning itu menjadi 8.819 orang.

Baca Juga  AMAK Desak Kejati Usut Dugaan Mega Korupsi Walikota Pekanbaru Firdaus dan M Jamil

Di sisi lain, pasien positif Corona yang meninggal dunia di Indonesia hari ini ada 118 orang. Dengan demikian, total pasien positif Covid-19 yang meninggal menjadi 13.077 orang.

Sementara pasien Covid-19 yang meninggal karena Corona di Provinsi Riau hari ini ada 6 orang, dengan demikian total sudah mencapai 291 orang. (zon/riausatu.com)

News Feed