oleh

Rekor Riau Pecah! Catat 380 Kasus Baru Corona 24 Oktober, 9 Meninggal

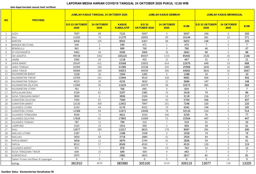
PEKANBARU – Kasus positif virus Corona (Covid-19) di Indonesia hari ini, Sabtu  (24/10/2020), bertambah 4.070  orang. Dengan penambahan tersebut, total kasus positif virus Corona di Indonesia menjadi 385.980 orang.

Sementara untuk Provinsi Riau, pasien positif Corona bertambah 380 orang. Dengan demikian, total pasien Covid-19 di Riau berjumlah 13.257 orang sejak pandemi Covid-19 menyerang Indonesia.

Buat Provinsi Riau ini merupakan rekor baru karena rekor penambahan pasien positif Covid-19 per hari sebelumnya berjumlah 352 orang, pada Rabu  (30/9/2020).

Berdasarkan situs Kementerian Kesehatan RI, hari ini dilaporkan juga ada 4.119 pasien sembuh dari Corona. Dengan penambahan itu, maka pasien sembuh dari Corona di RI total berjumlah 309.219 orang.

Khusus Provinsi Riau, pasien positif Covid-19 yang sembuh hari ini berjumlah 278 orang. Dengan demikian, total pasien sembuh di Negeri Lancang Kuning itu menjadi 9.097 orang.

Di sisi lain, pasien positif Corona yang meninggal dunia di Indonesia hari ini ada 128 orang. Dengan demikian, total pasien positif Covid-19 yang meninggal menjadi 13.205 orang.

Sementara pasien Covid-19 yang meninggal karena Corona di Provinsi Riau hari ini ada 9 orang, dengan demikian total sudah mencapai 300 orang.

Berikut sebaran 4.070 kasus baru Corona di Indonesia, Sabtu   (24/10/2020):

DKI Jakarta: 1.062 kasus

Jawa Barat: 421 kasus
Riau: 380 kasus
Sumatera Barat: 300 kasus
Jawa Timur: 289 kasus
Jawa Tengah: 284 kasus
Kalimantan Timur: 241 kasus
Banten: 105 kasus
Aceh: 88 kasus
Sumatera Utara: 84 kasus
Kepulauan Riau: 81 kasus
Bali: 76 kasus
Sulawesi Tenggara: 72 kasus
Maluku: 68 kasus
Sulawesi Selatan: 65 kasus
Papua: 57 kasus
Kalimantan Selatan: 46 kasus
DI Yogyakarta: 44 kasus
Sulawesi Utara: 44 kasus
Kalimantan Barat: 36 kasus
Lampung: 29 kasus
Jambi: 26 kasus
Papua Barat: 21 kasus
Kalimantan Tengah: 20 kasus
NTT: 15 kasus
Sulawesi Tengah: 12 kasus
Bengkulu: 8 kasus
Sulawesi Barat: 7 kasus
Gorontalo: 7 kasus
NTB: 6 kasus
Bangka Belitung: 5 kasus
Kalimantan Utara: 5 kasus
Maluku Utara: 1 kasus.
(zon/riausatu.com)

Baca Juga  Hari Pertama 2022 Kasus Baru Corona Riau Tambah 1, Ini Data Lengkapnya

News Feed