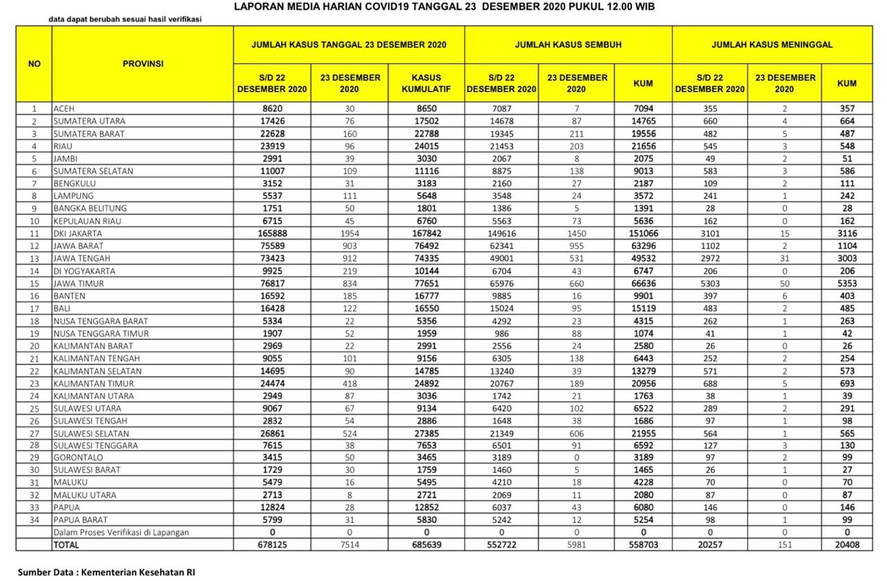
PEKANBARU – Kasus positif virus Corona (Covid-19) di Republik Indonesia (RI), Rabu (23/12/2020), bertambah 7.514 orang. Dengan penambahan tersebut, total kasus positif virus Corona di Indonesia menjadi 685.639 orang.
Sementara untuk Provinsi Riau, pasien positif Corona bertambah 96 orang. Dengan demikian, total pasien Covid-19 di Riau berjumlah 24.015 orang sejak pandemi Covid-19 menyerang Indonesia.
Berdasarkan situs Kementerian Kesehatan RI, hari ini dilaporkan juga ada 5.981 pasien sembuh dari Corona. Dengan penambahan itu, maka pasien sembuh dari Corona di Indonesia menjadi 558.703 orang.
Khusus Provinsi Riau, pasien positif Covid-19 yang sembuh hari ini berjumlah 203 orang. Dengan demikian, total pasien sembuh di Negeri Lancang Kuning itu menjadi 21.656 orang.
Di sisi lain, pasien positif Corona yang meninggal dunia di Indonesia hari ini ada 151 orang. Dengan demikian, total pasien positif Covid-19 yang meninggal menjadi 20.408 orang.
Sementara pasien Covid-19 yang meninggal karena Corona di Provinsi Riau hari ini ada 3 orang, dengan demikian total sudah mencapai 548 orang.
Berikut sebaran 7.514 kasus baru Corona di Indonesia, Rabu (23/12/2020):
DKI Jakarta: 1.954 kasus
Jawa Tengah: 912 kasus
Jawa Barat: 903 kasus
Jawa Timur: 834 kasus
Sulawesi Selatan: 524 kasus
Kalimantan Timur: 418 kasus
DI Yogyakarta: 219 kasus
Banten: 185 kasus
Sumatera Barat: 160 kasus
Bali: 122 kasus
Lampung: 111 kasus
Sumatera Selatan: 109 kasus
Kalimantan Tengah: 101 kasus
Riau: 96 kasus
Kalimantan Selatan: 90 kasus
Kalimantan Utara: 87 kasus
Sumatera utara: 76 kasus
Sulawesi Utara: 67 kasus
Sulawesi Tengah: 54 kasus
Nusa Tenggara Timur: 52 kasus
Bangka Belitung: 50 kasus
Gorontalo: 50 kasus
Kepulauan Riau: 45 kasus
Jambi: 39 kasus
Sulawesi Tenggara: 38 kasus
Bengkulu: 31 kasus
Papua Barat: 31 kasus
Aceh: 30 kasus
Sulawesi Barat: 30 kasus
Papua: 28 kasus
Nusa Tenggara Barat: 22 kasus
Kalimantan Barat: 22 kasus
Maluku: 16 kasus
Maluku Utara: 8 kasus. (zon/riausatu.com)








