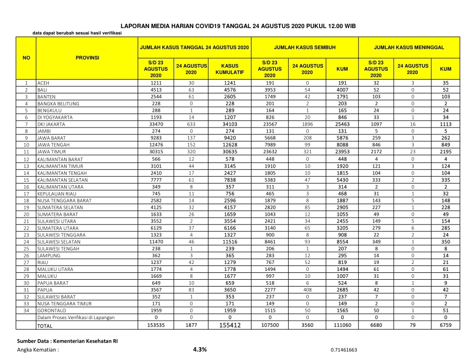
PEKANBARU – Kasus positif virus Corona (Covid-19) di Indonesia hari ini bertambah menjadi 155.412, tersebar di 485 kabupaten/kota dari 34 provinsi. Khusus Provinsi Riau, kasus positif Corona hari ini, Senin (24/8/2020), sama jumlahnya dengan Ahad (23/8/2020), yakni bertambah 42 orang.
Berdasarkan informasi dari Satgas Penanganan Covid-19, Senin (24/8/2020), kasus Corona di Indonesia hari ini bertambah 1.877 orang. Sedang kasus kematian bertambah 79, sehingga total menjadi 6.759 orang
Dari data di atas, kasus sembuh Corona hari ini ternyata lebih banyak dari pertambahan pasien positif, yakni sebanyak 3.560. Total kasus sembuh Corona kini menjadi 111.060 orang.
Di sisi lain, Pemerintah masih memantau 76.745 orang suspek Corona. Dan hari ini juga, spesimen terkait Corona yang diperiksa sebanyak 19.395.
Sementara itu, berdasarkan data dari Departemen Kesehatan RI, dengan penambahan 42 pasien positif Corona di Provinsi Riau, maka total kasus positif Covid-19 di Negeri Lancang Kuning menjadi
1.279 orang.
Di sisi lain, pasien Covid-19 sembuh di Riau hari ini lebih banyak dari penambahan kasus positif, yakni 52 orang. Dengan demikian, total sembuh menjadi 819 orang. Sedang pasien Covid-19 di Riau yang meninggal hari ini dua orang, total sudah 21 orang yang meninggal.
Berikut sebaran kasus positif Corona di 34 Provinsi, Senin (24/8/2020):
- Aceh: 30 (1.241) kasus positif
- Bali: 64 (4.576) kasus positif
- Banten: 61 (2.605) kasus positif
- Bangka Belitung: 0 (228) kasus positif
- Bengkulu: 1 (289) kasus positif
- DI Yogyakarta: 14 (1.207) kasus positif
- DKI Jakarta: 633 (34.103) kasus positif
- Jambi: 0 (274) kasus positif
- Jawa Barat: 137 (9.420) kasus positif
- Jawa Tengah: 152 (12.628) kasus positif
- Jawa Timur: 320 (30.635) kasus positif
- Kalimantan Barat: 12 (578) kasus positif
- Kalimantan Timur: 44 (3.145) kasus positif
- Kalimantan Tengah: 17 (2.427) kasus positif
- Kalimantan Selatan: 61 (7.838) kasus positif
- Kalimantan Utara: 8 (357) kasus positif
- Kepulauan Riau: 11 (756) kasus positif
- Nusa Tenggara Barat: 14 (2.596) kasus positif
- Sumatera Selatan: 32 (4.157) kasus positif
- Sumatera Barat: 26 (1.659) kasus positif
- Sulawesi Utara: 2 (3.554) kasus positif
- Sumatera Utara: 37 (6.166) kasus positif
- Sulawesi Tenggara: 4 (1.327) kasus positif
- Sulawesi Selatan: 46 (11.516) kasus positif
- Sulawesi Tengah: 1 (239) kasus positif
- Lampung: 3 (365) kasus positif
- Riau: 42 (1.279) kasus positif
- Maluku Utara: 4 (1.778) kasus positif
- Maluku: 8 (1.677) kasus positif
- Papua Barat: 10 (659) kasus positif
- Papua: 83 (3.650) kasus positif
- Sulawesi Barat: 1 (353) kasus positif
- Nusa Tenggara Timur: 0 (171) kasus positif
- Gorontalo: 0 (1.959) kasus positif. (zon/riausatu.com)









Komentar