oleh

RI Pecah Rekor! Kasus Baru Corona di Riau Hari Ini Masih Tinggi, 156 Sembuh

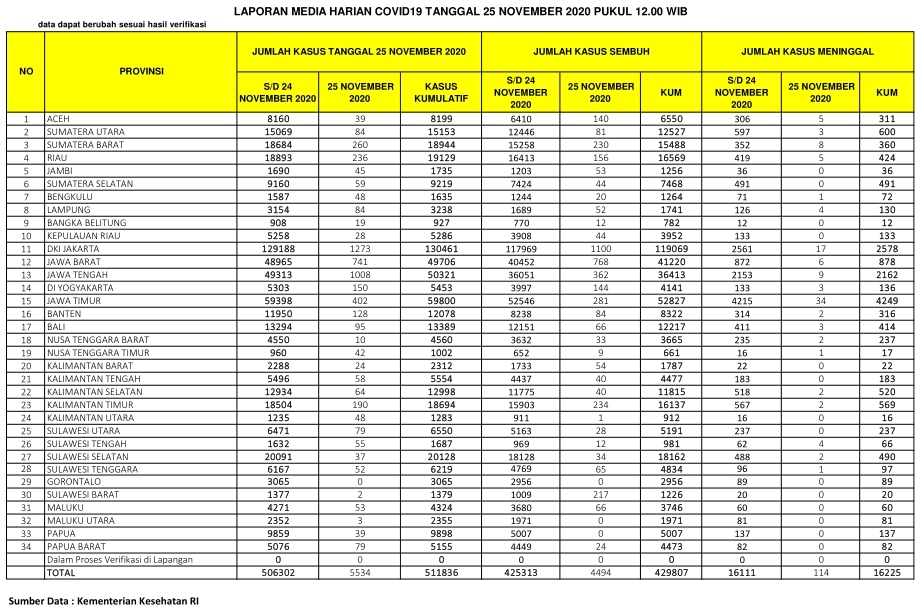
PEKANBARU – Kasus positif virus Corona (Covid-19) di Republik Indonesia (RI), Rabu (25/11/2020), bertambah 5.534 orang. Dengan penambahan tersebut, total kasus positif virus Corona di Indonesia menjadi 511.836 orang.

Sementara untuk Provinsi Riau, pasien positif Corona bertambah 236 orang. Dengan demikian, total pasien Covid-19 di Riau berjumlah 19.129 orang sejak pandemi Covid-19 menyerang Indonesia.

Berdasarkan situs Kementerian Kesehatan RI, hari ini dilaporkan juga ada 4.494 pasien sembuh dari Corona. Dengan penambahan itu, maka pasien sembuh dari Corona di Indonesia  menjadi 429.807 orang.

Baca Juga  Update Corona Riau 19 September: Tambah 81 Kasus, 198 Sembuh, 9 Wafat

Khusus Provinsi Riau, pasien positif Covid-19 yang sembuh hari ini berjumlah 156 orang. Dengan demikian, total pasien sembuh di Negeri Lancang Kuning itu menjadi 16.569 orang.

Di sisi lain, pasien positif Corona yang meninggal dunia di Indonesia hari ini ada 114 orang. Dengan demikian, total pasien positif Covid-19 yang meninggal menjadi 16.225 orang.

Baca Juga  Update Corona di Riau 6 Oktober: Tambah 131 Kasus, Meninggal 6

Sementara pasien Covid-19 yang meninggal karena Corona di Provinsi Riau hari ini ada 5 orang, dengan demikian total sudah mencapai 424 orang.

Berikut sebaran 5.534 kasus baru Corona di Indonesia, Rabu  (25/11/2020):

DKI Jakarta: 1.273

Jawa Tengah: 1.008
Jawa Barat: 741
Jawa Timur: 402
Sumatera Barat: 260
Riau: 236
Kalimantan Timur: 190
DI Yogyakarta: 150
Banten: 128
Bali: 95
Sumatera Utara: 84
Lampung: 84
Sulawesi Utara: 79
Papua Barat: 79
Kalimantan Selatan: 64
Sumatera Selatan: 59
Kalimantan Tengah: 58
Sulawesi Tengah: 55
Maluku: 53
Sulawesi Tenggara: 52
Bengkulu: 48
Kalimantan Utara: 48
Jambi: 45
NTT: 42
Aceh: 39
Papua: 39
Sulawesi Selatan: 37
Kepulauan Riau: 38
Kalimantan Barat: 24
Bangka Belitung: 19
NTB: 10
Maluku Utara: 3
Sulawesi Barat: 2. (zon/riausatu.com)

News Feed