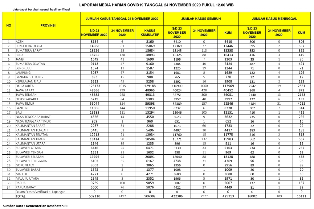
PEKANBARU – Kasus positif virus Corona (Covid-19) di Indonesia, Selasa (24/11/2020), bertambah 4.192 orang. Dengan penambahan tersebut, total kasus positif virus Corona di Indonesia menjadi 506.302 orang.
Sementara untuk Provinsi Riau, pasien positif Corona bertambah 138 orang. Dengan demikian, total pasien Covid-19 di Riau berjumlah 18.893 orang sejak pandemi Covid-19 menyerang Indonesia.
Berdasarkan situs Kementerian Kesehatan RI, hari ini dilaporkan juga ada 2.927 pasien sembuh dari Corona. Dengan penambahan itu, maka pasien sembuh dari Corona di Indonesia menjadi 425.313 orang.
Khusus Provinsi Riau, pasien positif Covid-19 yang sembuh hari ini berjumlah 88 orang. Dengan demikian, total pasien sembuh di Negeri Lancang Kuning itu menjadi 16.413 orang.
Di sisi lain, pasien positif Corona yang meninggal dunia di Indonesia hari ini ada 109 orang. Dengan demikian, total pasien positif Covid-19 yang meninggal menjadi 16.111 orang.
Sementara pasien Covid-19 yang meninggal karena Corona di Provinsi Riau hari ini ada 3 orang, dengan demikian total sudah mencapai 419 orang. (zon/riausatu.com)








