oleh

Rekor Kasus Kematian Corona di RI 25 Desember, Kasus Baru di Riau Turun Drastis

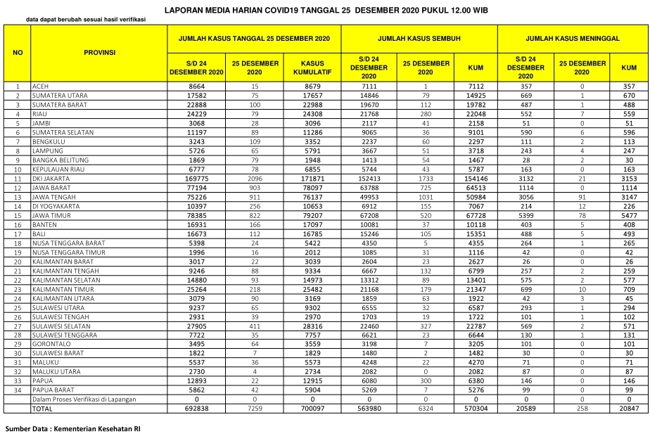
PEKANBARU – Kasus positif virus Corona (Covid-19) di Republik Indonesia (RI), Jumat (25/12/2020), bertambah 7.259 orang. Dengan penambahan tersebut, total kasus positif virus Corona di Indonesia menjadi 700.097 orang.

Sementara untuk Provinsi Riau, pasien positif Corona bertambah 79 orang. Dengan demikian, total pasien Covid-19 di Riau berjumlah 24.308 orang sejak pandemi Covid-19 menyerang Indonesia.

Berdasarkan situs Kementerian Kesehatan RI, hari ini dilaporkan juga ada 6.324 pasien sembuh dari Corona. Dengan penambahan itu, maka pasien sembuh dari Corona di Indonesia  menjadi 570.304 orang.

Baca Juga  Sejumlah Wartawan Senior di Bali Dukung Pengurus PWI Pusat Hasil KLB

Khusus Provinsi Riau, pasien positif Covid-19 yang sembuh hari ini berjumlah 280 orang. Dengan demikian, total pasien sembuh di Negeri Lancang Kuning itu menjadi 22.048 orang.

Di sisi lain, pasien positif Corona yang meninggal dunia di Indonesia hari ini ada 258 orang. Dengan demikian, total pasien positif Covid-19 yang meninggal menjadi 20.874 orang.

Angka kematian hari ini menembus rekor tertinggi kasus meninggal karena Corona di RI, di mana rekor sebelumnya 171 kasus pada 9 Desember 2020.

Baca Juga  Naik Lagi Kasus Baru Corona di RI 12 Oktober, Berikut Sebaran Lengkapnya

Sementara pasien Covid-19 yang meninggal karena Corona di Provinsi Riau hari ini ada 7 orang, dengan demikian total sudah mencapai 559 orang.

Berikut sebaran 7.259 kasus baru Corona di Indonesia, Jumat  (25/12/2020):

DKI Jakarta: 2.096

Jawa Tengah: 911
Jawa Barat: 903
Jawa Timur: 822
Sulawesi Selatan: 411
DI Yogyakarta: 256
Kalimantan Timur: 218
Banten: 166
Bali: 112
Bengkulu: 109
Sumatera Barat: 100
Kalimantan Selatan: 93
Kalimantan Utara: 90
Sumatera Selatan: 89
Kalimantan Tengah: 88
Riau: 79
Bangka Belitung: 79
Kepulauan Riau: 78
Sumatera Utara: 75
Lampung: 65
Sulawesi Utara: 65
Gorontalo: 64
Papua Barat: 42
Sulawesi Tengah: 39
Maluku: 36
Sulawesi Tenggara: 35
Jambi: 28
NTB: 24
Kalimantan Barat: 22
Papua: 22
NTT: 16
Aceh: 15
Sulawesi Barat: 7. (zon/riausatu.com)

News Feed