oleh

Berikut Sebaran 7.199 Kasus Corona RI 24 Desember, Riau Naik Peringkat ke-8

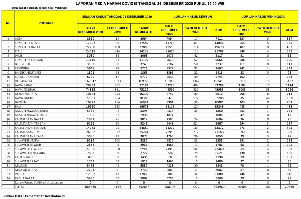
PEKANBARU – Kasus positif virus Corona (Covid-19) di Republik Indonesia (RI), Kamis  (24/12/2020), bertambah 7.199 orang. Dengan penambahan tersebut, total kasus positif virus Corona di Indonesia menjadi 692.838 orang.

Sementara untuk Provinsi Riau, pasien positif Corona bertambah 214 orang. Dengan demikian, total pasien Covid-19 di Riau berjumlah 24.229 orang sejak pandemi Covid-19 menyerang Indonesia.

Berdasarkan situs Kementerian Kesehatan RI, hari ini dilaporkan juga ada 5.277 pasien sembuh dari Corona. Dengan penambahan itu, maka pasien sembuh dari Corona di Indonesia  menjadi 563.980 orang.

Baca Juga  Riau Sumbang 85, Ini Sebaran 2.881 Kasus Baru Corona RI 23 September

Khusus Provinsi Riau, pasien positif Covid-19 yang sembuh hari ini berjumlah 112 orang. Dengan demikian, total pasien sembuh di Negeri Lancang Kuning itu menjadi 21.768 orang.

Di sisi lain, pasien positif Corona yang meninggal dunia di Indonesia hari ini ada 181 orang. Dengan demikian, total pasien positif Covid-19 yang meninggal menjadi 20.589 orang.

Sementara pasien Covid-19 yang meninggal karena Corona di Provinsi Riau hari ini ada 4 orang, dengan demikian total sudah mencapai 552 orang.

Baca Juga  Riau Peringkat I Pasien Sembuh di Luar Jawa, Ini Sebaran 4.295 Kasus Baru Corona RI 17 Mei

Berikut sebaran 7.199 kasus baru Corona di Indonesia, Kamis  (24/12/2020):

DKI Jakarta: 1.933 kasus

Jawa Tengah: 891 kasus
Jawa Timur: 734 kasus
Jawa Barat: 702 kasus
Sulawesi Selatan: 520 kasus
Kalimantan Timur: 372 kasus
DI Yogyakarta: 253 kasus
Riau: 214 kasus
Banten: 154 kasus
Bali: 123 kasus
Sulawesi Utara: 103 kasus
Sumatera Barat: 100 kasus
Kalimantan Selatan: 95 kasus
Kalimantan Tengah: 90 kasus
Sumatera Selatan: 81 kasus
Sumatera Utara: 80 kasus
Lampung: 78 kasus
Sulawesi Tenggara: 69 kasus
Bangka Belitung: 68 kasus
Sulawesi Barat: 63 kasus
Bengkulu: 60 kasus
Sulawesi Tengah: 45 kasus
Kalimantan Utara: 43 kasus
Nusa Tenggara Barat: 42 kasus
Maluku: 42 kasus
Papua: 41 kasus
Jambi: 38 kasus
Nusa Tenggara Timur: 37 kasus
Papua Barat: 32 kasus
Gorontalo: 30 kasus
Kalimantan Barat: 26 kasus
Kepulauan Riau: 17 kasus
Aceh: 14 kasus
Maluku Utara: 9 kasus. (zon/riausatu.com)

News Feed