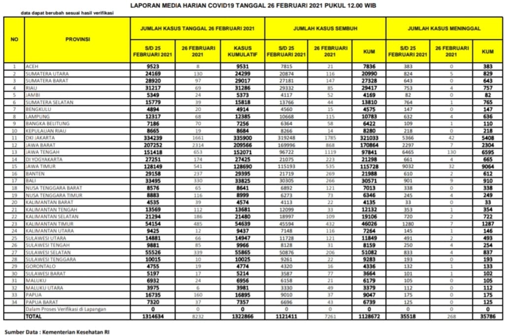
PEKANBARU – Kasus positif virus Corona (Covid-19) di Republik Indonesia (RI), Jumat (26/2/2021), bertambah 8.232orang. Dengan penambahan tersebut, total kasus positif virus Corona di Indonesia menjadi 1.322.866 kasus.
Sementara untuk Provinsi Riau, pasien positif Corona bertambah 69 orang. Dengan demikian, total pasien Covid-19 di Riau berjumlah 31.286 pandemi Covid-19 menyerang Indonesia.
Berdasarkan situs Kementerian Kesehatan RI, hari ini dilaporkan juga ada 7.261 pasien sembuh dari Corona. Dengan penambahan itu, maka pasien sembuh dari Corona di Indonesia menjadi 1.128.672 orang.
Khusus Provinsi Riau, pasien positif Covid-19 yang sembuh hari ini berjumlah 85 orang. Dengan demikian, total pasien sembuh di Negeri Lancang Kuning itu menjadi 29.417 orang.
Di sisi lain, pasien positif Corona yang meninggal dunia di Indonesia hari ini ada 268 orang. Dengan demikian, total pasien positif Covid-19 yang meninggal menjadi 35.786 orang.
Sementara pasien Covid-19 yang meninggal karena Corona di Provinsi Riau hari ini ada 4 orang, dengan demikian total sudah mencapai 757 orang.
Berikut sebaran 8.232 kasus baru corona di Indonesia, Jumat (26/2/2021):
Jawa Barat: 2.314 kasus
DKI Jakarta: 1.661 kasus
Jawa Tengah: 653 kasus
Jawa Timur: 541 kasus
Kalimantan Timur: 485 kasus
Sulawesi Selatan: 339 kasus
Bali: 330 kasus
Banten: 237 kasus
Kalimantan Selatan: 186 kasus
DI Yogyakarta: 174 kasus
Papua: 160 kasus
Sumatera Utara: 130 kasus
NTT: 116 kasus
Kalimantan Tengah: 112 kasus
Sumatera Barat: 97 kasus
Sulawesi Tengah: 85 kasus
Bangka Belitung: 70 kasus
Riau: 69 kasus
Lampung: 68 kasus
Sulawesi Utara: 66 kasus
NTB: 65 kasus
Sumatera Selatan: 39 kasus
Kalimantan Barat: 39 kasus
Papua Barat: 37 kasus
Jambi: 24 kasus
Maluku: 24 kasus
Bengkulu: 20 kasus
Kepulauan Riau: 19 kasus
Gorontalo: 19 kasus
Sulawesi Barat: 17 kasus
Kalimantan Utara: 12 kasus
Sulawesi Tenggara: 10 kasus
Aceh: 8 kasus
Maluku Utara: 6 kasus. (zon/riausatu.com)










