oleh

Riau Catat 169 Kasus, Ini Sebaran 4.982 Kasus Baru Corona di RI pada 26 Maret

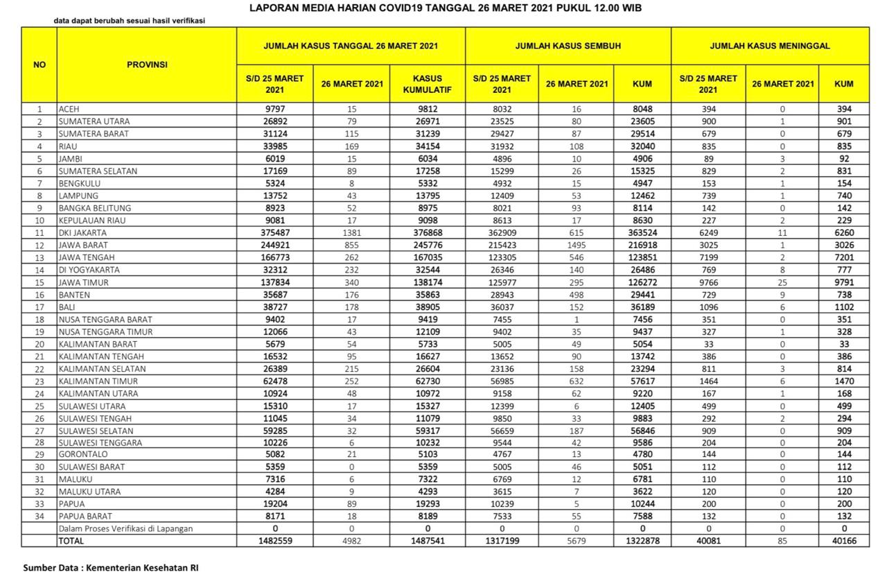
PEKANBARU – Kasus positif virus Corona (Covid-19) di Republik Indonesia (RI), Jumat (26/3/2021), bertambah 4.982 orang. Dengan penambahan tersebut, total kasus positif virus Corona di Indonesia menjadi 1.487.541 kasus.

Sementara untuk Provinsi Riau, pasien positif Corona bertambah 169 orang. Dengan demikian, total pasien Covid-19 di Riau berjumlah 34.154 orang sejak pandemi Covid-19 menyerang Indonesia.

Berdasarkan situs Kementerian Kesehatan RI, hari ini dilaporkan juga ada 5.679 pasien sembuh dari Corona. Dengan penambahan itu, maka pasien sembuh dari Corona di Indonesia menjadi 1.322.878 orang.

Baca Juga  Gerindra Usung Rudy Susmanto sebagai Calon Bupati Kabupaten Bogor

Khusus Provinsi Riau, pasien positif Covid-19 yang sembuh hari ini berjumlah 108 orang. Dengan demikian, total pasien sembuh di Negeri Lancang Kuning itu menjadi 32.040 orang.

Di sisi lain, pasien positif Corona yang meninggal dunia di Indonesia hari ini ada 85 orang. Dengan demikian, total pasien positif Covid-19 yang meninggal menjadi 40.166 orang.

Sementara pasien Covid-19 di Provinsi Riau yang meninggal hari ini tidak ada, dengan demikian total sama dengan kemarin yakni 835 orang.

Baca Juga  Update Corona 5 Januari: RI Tambah 7.445 Kasus Baru, Riau Kembali Naik

Berikut sebaran 4.982 kasus baru Corona di Indonesia, Jumat (26/3/2021):

DKI Jakarta: 1.381 kasus

Jawa Barat: 855 kasus

Jawa Timur: 340 kasus

Jawa Tengah: 262 kasus

Kalimantan Timur: 252 kasus

DI Yogyakarta: 232 kasus

Kalimantan Selatan: 215 kasus

Bali: 178 kasus

Banten: 176 kasus

Riau: 169 kasus

Sumatera Barat: 115 kasus

Kalimantan Tengah: 95 kasus

Sumatera Selatan: 89 kasus

Papua: 89 kasus

Baca Juga  Mantap, Agung Nugroho Usulkan Asuransi Kebakaran Rumah Warga

Sumatera Utara: 79 kasus

Kalimantan Barat: 54 kasus

Bangka Belitung: 52 kasus

Kalimantan Utara: 48 kasus

Lampung: 43 kasus

Nusa Tenggara Timur: 43 kasus

Sulawesi Tengah: 34 kasus

Sulawesi Selatan: 32 kasus

Gorontalo: 21 kasus

Papua Barat: 18 kasus

Kepulauan Riau: 17 kasus

Nusa Tenggara Barat: 17 kasus

Sulawesi Utara: 17 kasus

Aceh: 15 kasus

Jambi: 15 kasus

Maluku Utara: 9 kasus

Bengkulu: 8 kasus

Sulawesi Tenggara: 6 kasus

Maluku: 6 kasus. (zon/riausatu.com)

News Feed