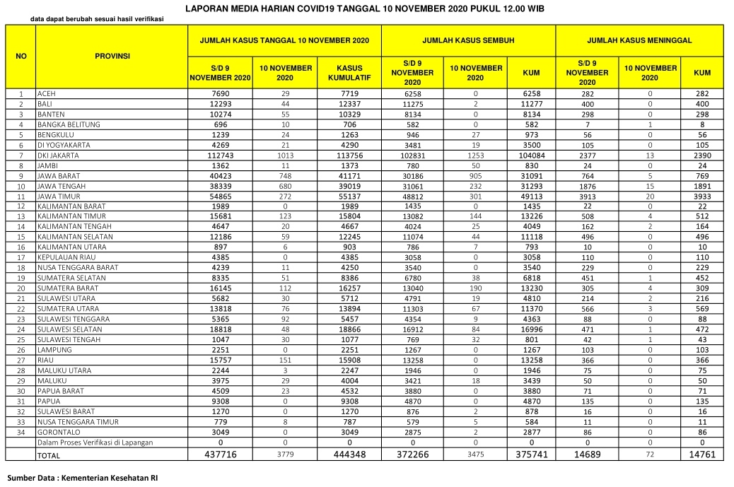
PEKANBARU – Kasus positif virus Corona (Covid-19) di Indonesia hari ini, Selasa (10/11/2020), bertambah 3.779 orang. Dengan penambahan tersebut, total kasus positif virus Corona di Indonesia menjadi 444.348 orang.
Sementara untuk Provinsi Riau, pasien positif Corona bertambah 151 orang. Dengan demikian, total pasien Covid-19 di Riau berjumlah 15.908 orang sejak pandemi Covid-19 menyerang Indonesia.
Berdasarkan situs Kementerian Kesehatan RI, hari ini dilaporkan juga ada 3.475 pasien sembuh dari Corona. Dengan penambahan itu, maka pasien sembuh dari Corona di RI total berjumlah 375.741 orang.
Khusus Provinsi Riau, pasien positif Covid-19 yang sembuh hari ini dilaporkan tidak ada penambahan. Dengan demikian, total pasien sembuh di Negeri Lancang Kuning tetap 13.258 orang.
Di sisi lain, pasien positif Corona yang meninggal dunia di Indonesia hari ini ada 72 orang. Dengan demikian, total pasien positif Covid-19 yang meninggal menjadi 14.761 orang.
Sementara pasien Covid-19 yang meninggal karena Corona di Provinsi Riau hari ini juga dilaporkan tidak ada, dengan demikian total tetap berjumlah 366 orang.
Berikut sebaran 3.779 kasus baru Corona di Indonesia, Selasa (10/11/2020):
Aceh: 29 kasus
Bali: 44 kasus
Banten: 55 kasus
Bangka Belitung: 10 kasus
Bengkulu : 24 kasus
DI Yogyakarta: 21 kasus
DKI Jakarta: 1.013 kasus
Jambi: 11 kasus
Jawa Barat: 748 kasus
Jawa Tengah: 680 kasus
Jawa Timur: 272 kasus
Kalimantan Timur: 123 kasus
Kalimantan Tengah: 20 kasus
Kalimantan Selatan: 59 kasus
Kalimantan Utara: 6 kasus
Nusa Tenggara Barat: 11 kasus
Sumatera Selatan: 51 kasus
Sumatera Barat: 112 kasus
Sulawesi Utara: 30 kasus
Sumatera Utara: 76 kasus
Sulawesi Tenggara: 92 kasus
Sulawesi Selatan: 48 kasus
Sulawesi Tengah : 30 kasus
Riau: 151 kasus
Maluku Utara: 3 kasus
Maluku: 29 kasus
Papua Barat: 23 kasus
Nusa Tenggara Timur: 8 kasus. (zon/riausatu.com)








